🇳🇴 🇬🇧 🇩🇪 🇨🇿 🇫🇮

Meteor, poloha: Breivikbotn 2022-11-29 00:31:09 UTC

Soubor KML  |  InteraktivnĂ­ mapa

Mapa zobrazuje dráhy meteoru. Světlejší čáry ukazují směry od pozorovacích stanic při objevení se meteoru a tmavší čáry, kde byl naposledy viděn. Modrá šipka značí viditelnou dráhu meteoru.

static map
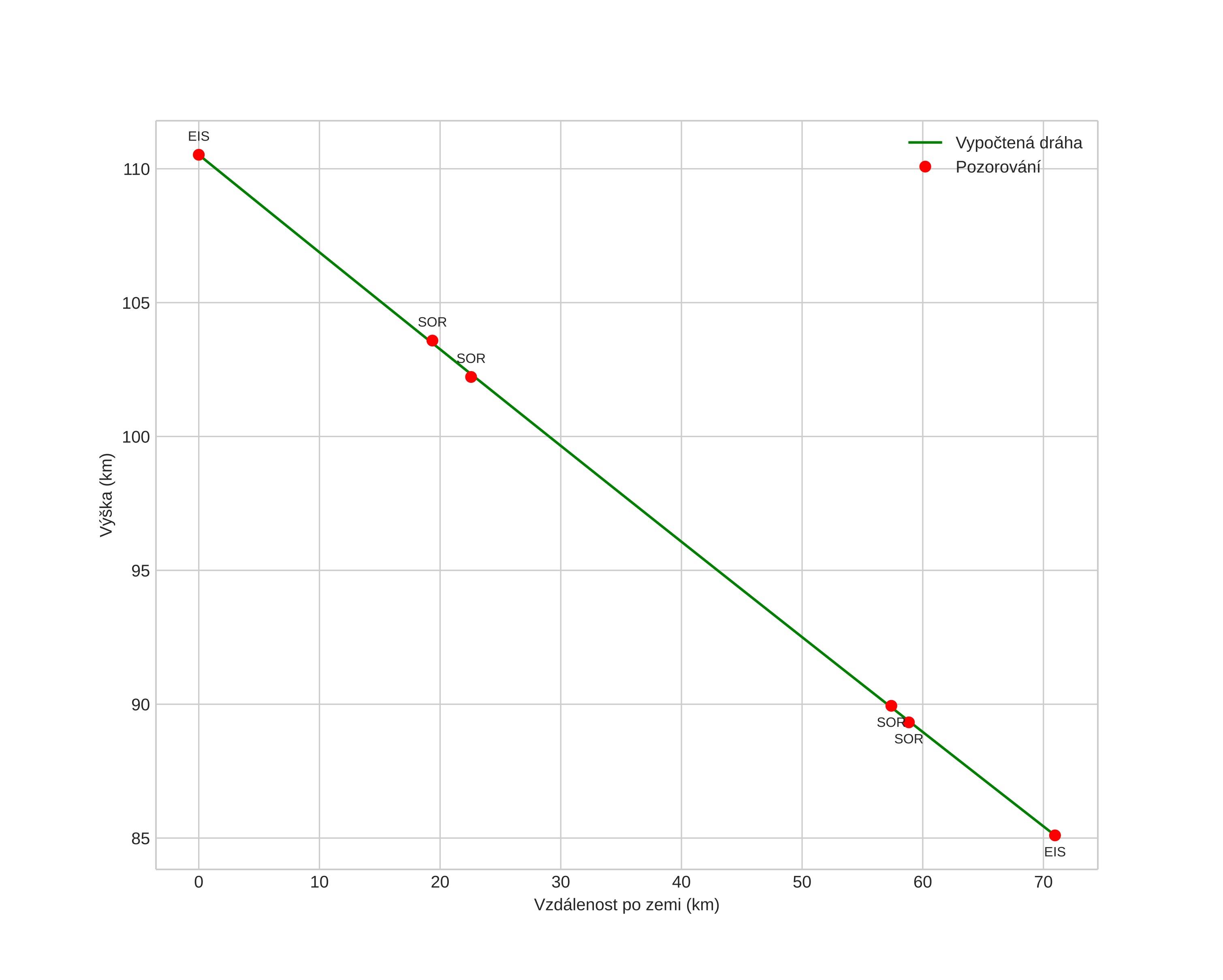
height profile
Atmosférická dráha meteoru:
Počáteční výška: 111,8 km
Konečná výška: 85,5 km
Počáteční poloha: 70,259N 22,080E
Konečná poloha: 70,873N 21,546E
Směr: 344,1°
Sklon: 20,3°
VstupnĂ­ rychlost: 69,7 km/s
Rektascenze radiantu: 07:28 (112,2°)
Deklinace radiantu: 0,8°
MeteorickĂ˝ roj: sporadickĂ˝
Elementy dráhy meteoroidu:
Vzdálenost v periheliu: 0,398 AU
Excentricita: 1,455
Sklon dráhy: 125,0°
Délka vzestupného uzlu: 66,4°
Argument perihelia: 90,4°
Střední anomálie: -35,8°
Epocha: 2022 NOV 29 00:31:09
orbit plot

NeinteraktivnĂ­ graf | InteraktivnĂ­ graf

position vs time
speed and acceleration