🇳🇴 🇬🇧 🇩🇪 🇨🇿 🇫🇮

Meteor Breivikbotnin yllä 2022-11-29 00:31:09 UTC

KML-tiedosto  |  Interaktiivinen kartta

Kartta näyttää meteorin suuntahavainnot. Vaaleammat viivat näyttävät suunnat havaintoasemilta meteorin ilmestyessä, ja tummemmat viivat näyttävät, missä se viimeksi nähtiin. Sininen nuoli näyttää meteorin näkyvän lennon.

static map
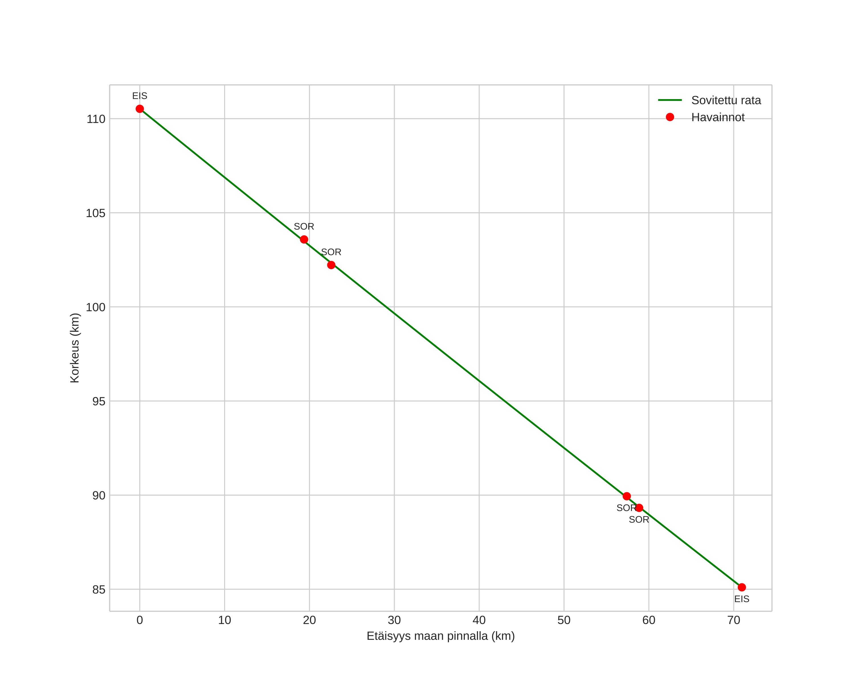
height profile
Meteorin ilmakehärata:
Alkukorkeus: 111,8 km
Loppukorkeus: 85,5 km
Alkupiste: 70,259N 22,080E
Loppupiste: 70,873N 21,546E
Suunta: 344,1°
Kallistuskulma: 20,3°
Tulonopeus: 69,7 km/s
Radiantin R,A,: 07:28 (112,2°)
Radiantin Dekl,: 0,8°
Meteoriparvi: Sporadinen
Meteoroidin rataelementit:
Perihelietäisyys: 0,398 AU
Eksentrisyys: 1,455
Inklinaatio: 125,0°
Nousevan solmun pituus: 66,4°
Perihelin argumentti: 90,4°
Keskianomalia: -35,8°
Epookki: 2022 NOV 29 00:31:09
orbit plot

Ei-interaktiivinen kuvaaja | Interaktiivinen kuvaaja

position vs time
speed and acceleration