🇳🇴 🇬🇧 🇩🇪 🇨🇿 🇫🇮

Meteor, poloha: Hatteng 2022-11-29 06:14:51 UTC

Soubor KML  |  InteraktivnĂ­ mapa

Mapa zobrazuje dráhy meteoru. Světlejší čáry ukazují směry od pozorovacích stanic při objevení se meteoru a tmavší čáry, kde byl naposledy viděn. Modrá šipka značí viditelnou dráhu meteoru.

static map
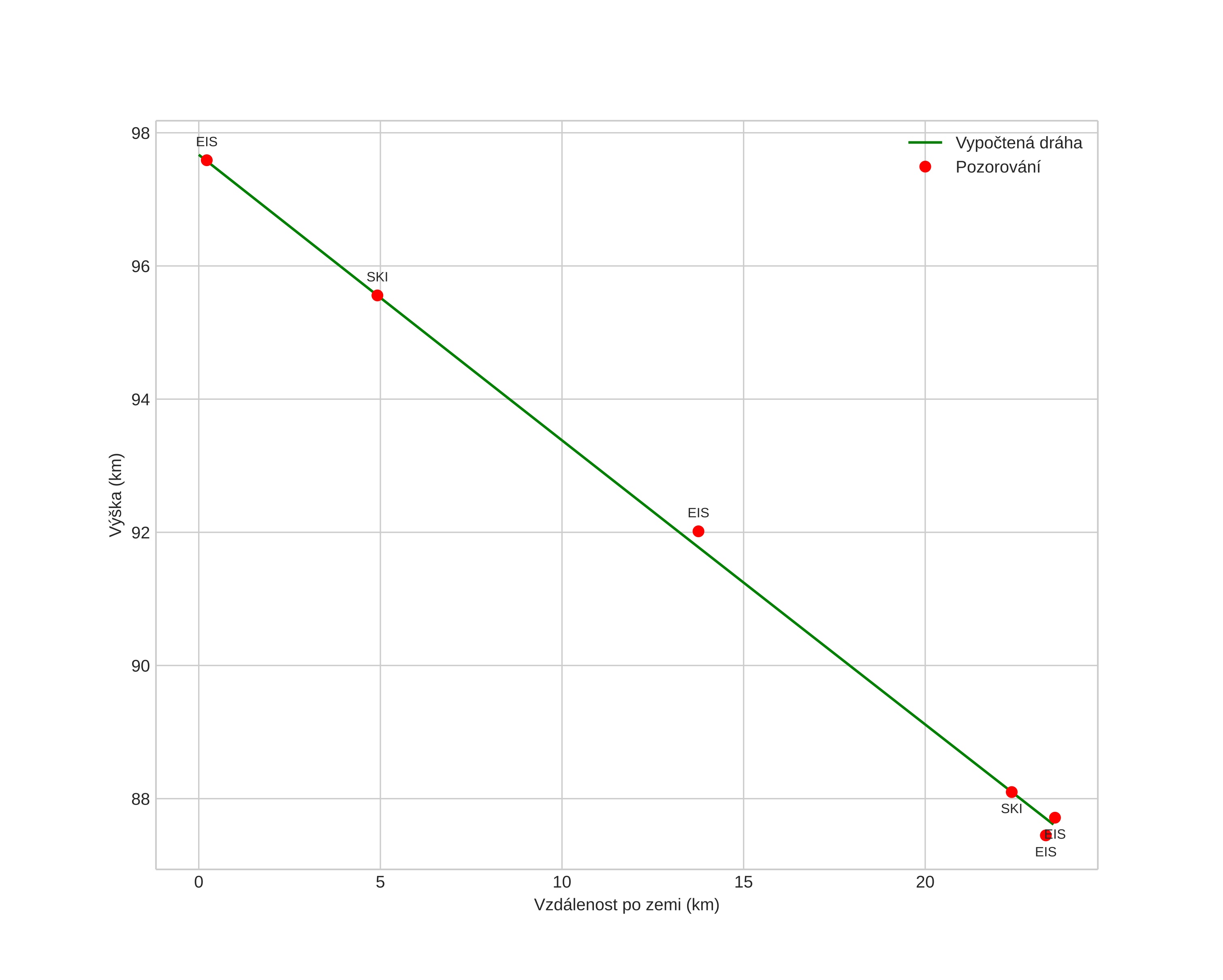
height profile
Atmosférická dráha meteoru:
Počáteční výška: 97,1 km
Konečná výška: 87,4 km
Počáteční poloha: 69,301N 20,648E
Konečná poloha: 69,320N 20,044E
Směr: 275,3°
Sklon: 22,1°
VstupnĂ­ rychlost: 26,7 km/s
Rektascenze radiantu: 17:21 (260,5°)
Deklinace radiantu: 15,5°
MeteorickĂ˝ roj: sporadickĂ˝
Elementy dráhy meteoroidu:
Vzdálenost v periheliu: 0,788 AU
Excentricita: 0,919
Sklon dráhy: 23,8°
Délka vzestupného uzlu: 246,7°
Argument perihelia: 125,4°
Střední anomálie: 1,1°
Epocha: 2022 NOV 29 06:14:51
orbit plot

NeinteraktivnĂ­ graf | InteraktivnĂ­ graf

position vs time
speed and acceleration