🇳🇴 🇬🇧 🇩🇪 🇨🇿 🇫🇮

Meteor Hattengin yllä 2022-11-29 06:14:51 UTC

KML-tiedosto  |  Interaktiivinen kartta

Kartta näyttää meteorin suuntahavainnot. Vaaleammat viivat näyttävät suunnat havaintoasemilta meteorin ilmestyessä, ja tummemmat viivat näyttävät, missä se viimeksi nähtiin. Sininen nuoli näyttää meteorin näkyvän lennon.

static map
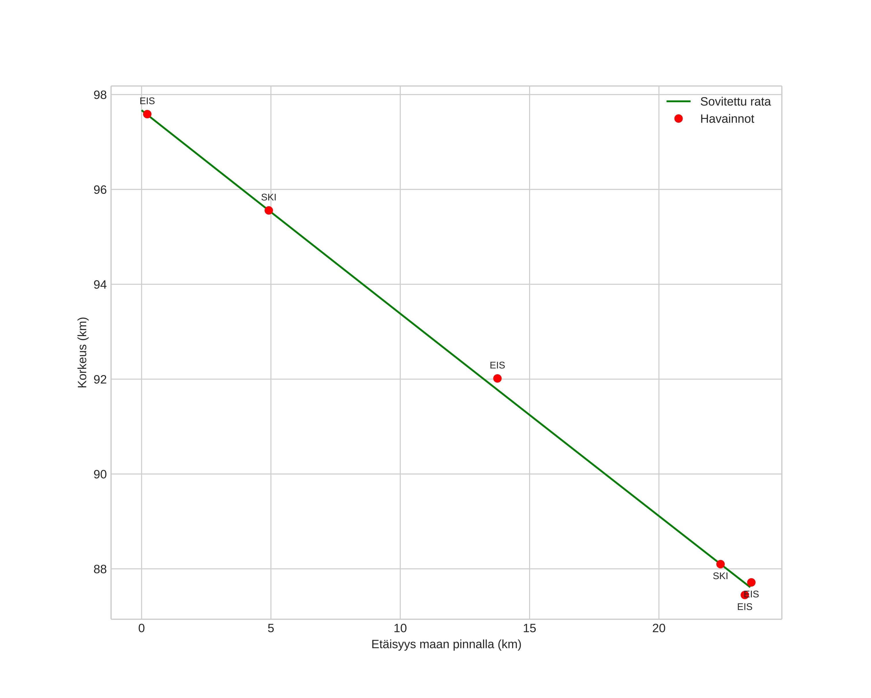
height profile
Meteorin ilmakehärata:
Alkukorkeus: 97,1 km
Loppukorkeus: 87,4 km
Alkupiste: 69,301N 20,648E
Loppupiste: 69,320N 20,044E
Suunta: 275,3°
Kallistuskulma: 22,1°
Tulonopeus: 26,7 km/s
Radiantin R,A,: 17:21 (260,5°)
Radiantin Dekl,: 15,5°
Meteoriparvi: Sporadinen
Meteoroidin rataelementit:
Perihelietäisyys: 0,788 AU
Eksentrisyys: 0,919
Inklinaatio: 23,8°
Nousevan solmun pituus: 246,7°
Perihelin argumentti: 125,4°
Keskianomalia: 1,1°
Epookki: 2022 NOV 29 06:14:51
orbit plot

Ei-interaktiivinen kuvaaja | Interaktiivinen kuvaaja

position vs time
speed and acceleration