🇳🇴 🇬🇧 🇩🇪 🇨🇿 🇫🇮

Meteor, poloha: Peize 2022-12-01 16:37:05 UTC

Soubor KML  |  InteraktivnĂ­ mapa

Mapa zobrazuje dráhy meteoru. Světlejší čáry ukazují směry od pozorovacích stanic při objevení se meteoru a tmavší čáry, kde byl naposledy viděn. Modrá šipka značí viditelnou dráhu meteoru.

static map
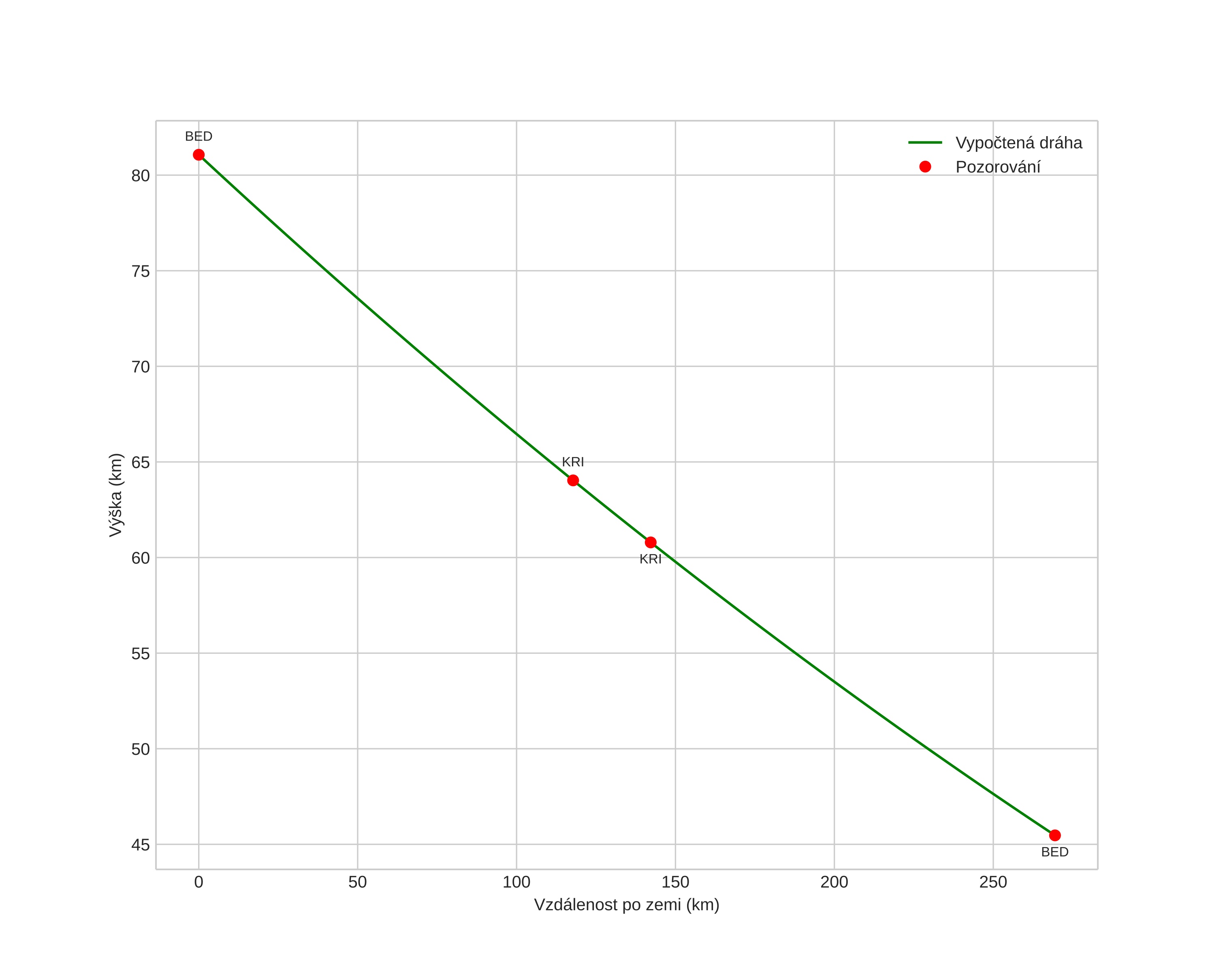
height profile
Atmosférická dráha meteoru:
Počáteční výška: 78,4 km
Konečná výška: 47,8 km
Počáteční poloha: 54,634N 10,110E
Konečná poloha: 53,176N 6,511E
Směr: 236,9°
Sklon: 6,1°
VstupnĂ­ rychlost: 21,1 km/s
Rektascenze radiantu: 05:56 (89,1°)
Deklinace radiantu: 16,6°
MeteorickĂ˝ roj: sporadickĂ˝
Elementy dráhy meteoroidu:
Vzdálenost v periheliu: 0,413 AU
Excentricita: 0,569
Sklon dráhy: 5,0°
Délka vzestupného uzlu: 69,2°
Argument perihelia: 127,1°
Střední anomálie: 299,4°
Epocha: 2022 DEC 01 16:37:05
orbit plot

NeinteraktivnĂ­ graf | InteraktivnĂ­ graf

position vs time
speed and acceleration