🇳🇴 🇬🇧 🇩🇪 🇨🇿 🇫🇮

Meteor Peizen yllä 2022-12-01 16:37:05 UTC

KML-tiedosto  |  Interaktiivinen kartta

Kartta näyttää meteorin suuntahavainnot. Vaaleammat viivat näyttävät suunnat havaintoasemilta meteorin ilmestyessä, ja tummemmat viivat näyttävät, missä se viimeksi nähtiin. Sininen nuoli näyttää meteorin näkyvän lennon.

static map
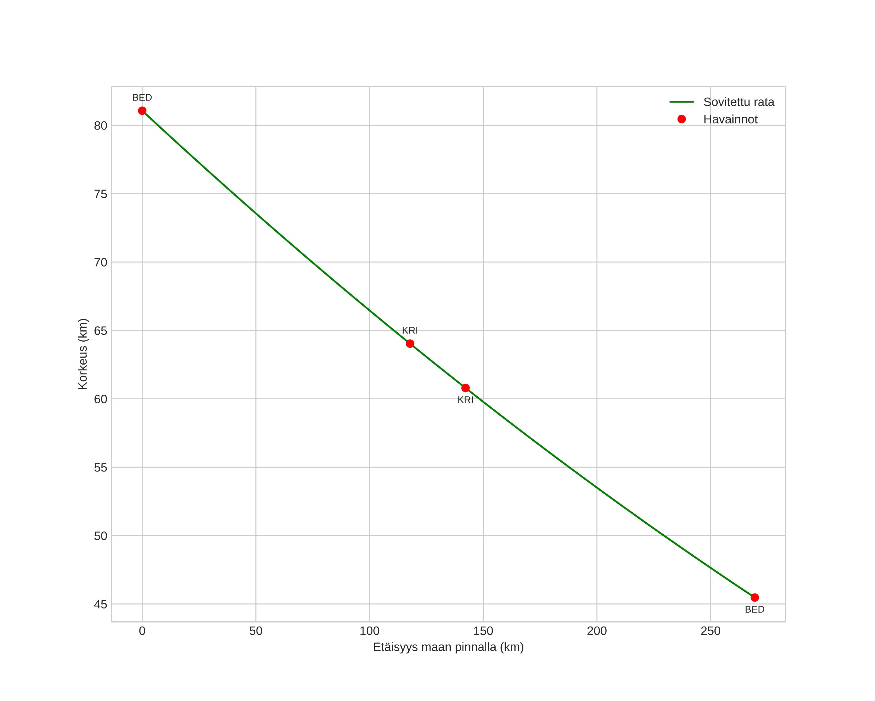
height profile
Meteorin ilmakehärata:
Alkukorkeus: 78,4 km
Loppukorkeus: 47,8 km
Alkupiste: 54,634N 10,110E
Loppupiste: 53,176N 6,511E
Suunta: 236,9°
Kallistuskulma: 6,1°
Tulonopeus: 21,1 km/s
Radiantin R,A,: 05:56 (89,1°)
Radiantin Dekl,: 16,6°
Meteoriparvi: Sporadinen
Meteoroidin rataelementit:
Perihelietäisyys: 0,413 AU
Eksentrisyys: 0,569
Inklinaatio: 5,0°
Nousevan solmun pituus: 69,2°
Perihelin argumentti: 127,1°
Keskianomalia: 299,4°
Epookki: 2022 DEC 01 16:37:05
orbit plot

Ei-interaktiivinen kuvaaja | Interaktiivinen kuvaaja

position vs time
speed and acceleration