🇳🇴 🇬🇧 🇩🇪 🇨🇿 🇫🇮

Meteor, poloha: Kárášjohka 2022-12-03 03:27:50 UTC

Soubor KML  |  InteraktivnĂ­ mapa

Mapa zobrazuje dráhy meteoru. Světlejší čáry ukazují směry od pozorovacích stanic při objevení se meteoru a tmavší čáry, kde byl naposledy viděn. Modrá šipka značí viditelnou dráhu meteoru.

static map
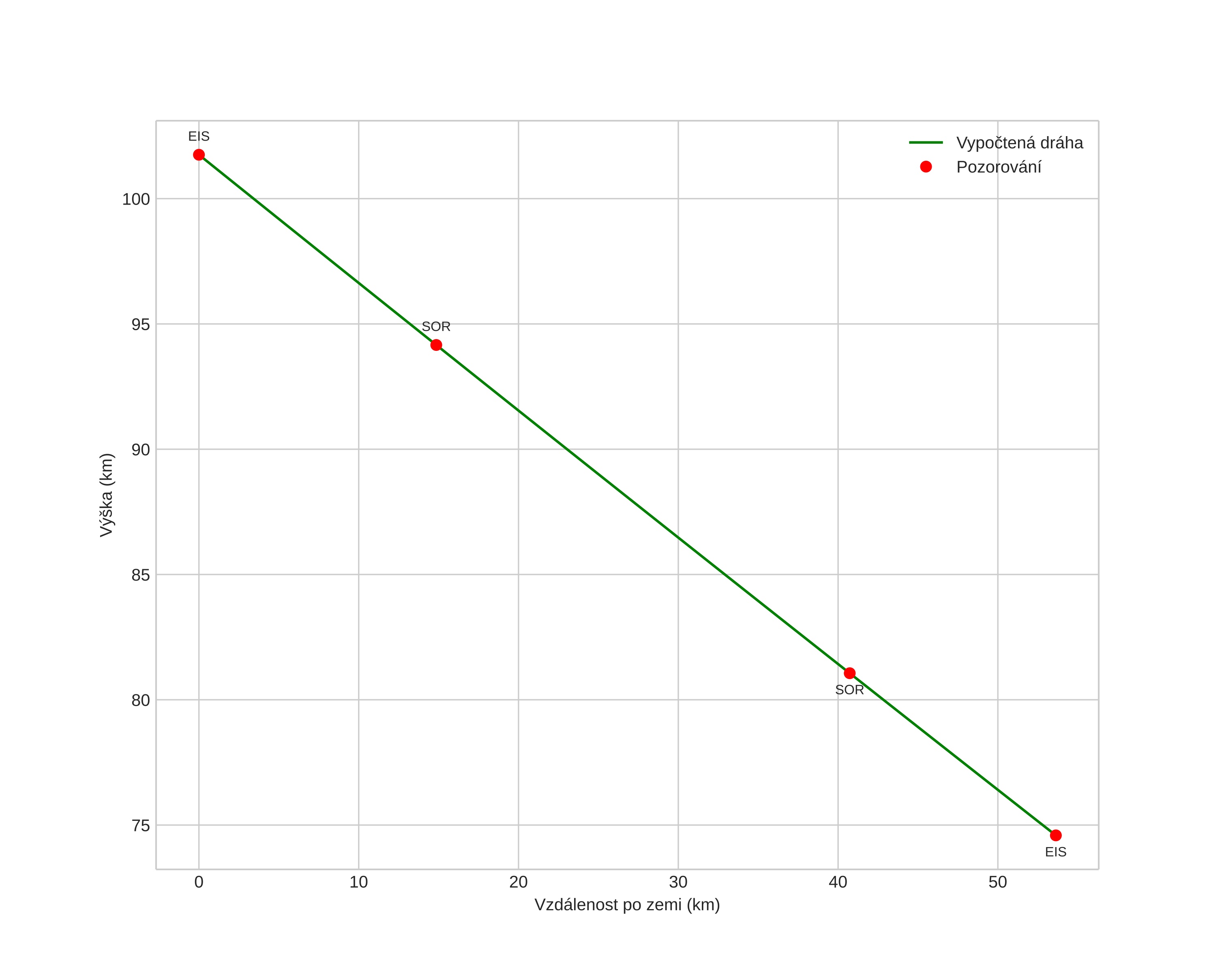
height profile
Atmosférická dráha meteoru:
Počáteční výška: 102,9 km
Konečná výška: 74,2 km
Počáteční poloha: 68,827N 24,969E
Konečná poloha: 69,050N 26,095E
Směr: 60,6°
Sklon: 29,2°
VstupnĂ­ rychlost: 44,4 km/s
Rektascenze radiantu: 06:20 (95,2°)
Deklinace radiantu: 16,4°
MeteorickĂ˝ roj: sporadickĂ˝
Elementy dráhy meteoroidu:
Vzdálenost v periheliu: 0,102 AU
Excentricita: 0,992
Sklon dráhy: 22,7°
Délka vzestupného uzlu: 70,6°
Argument perihelia: 143,3°
Střední anomálie: 359,3°
Epocha: 2022 DEC 03 03:27:50
orbit plot

NeinteraktivnĂ­ graf | InteraktivnĂ­ graf

position vs time
speed and acceleration