🇳🇴 🇬🇧 🇩🇪 🇨🇿 🇫🇮

Meteor Kárášjohkan yllä 2022-12-03 03:27:50 UTC

KML-tiedosto  |  Interaktiivinen kartta

Kartta näyttää meteorin suuntahavainnot. Vaaleammat viivat näyttävät suunnat havaintoasemilta meteorin ilmestyessä, ja tummemmat viivat näyttävät, missä se viimeksi nähtiin. Sininen nuoli näyttää meteorin näkyvän lennon.

static map
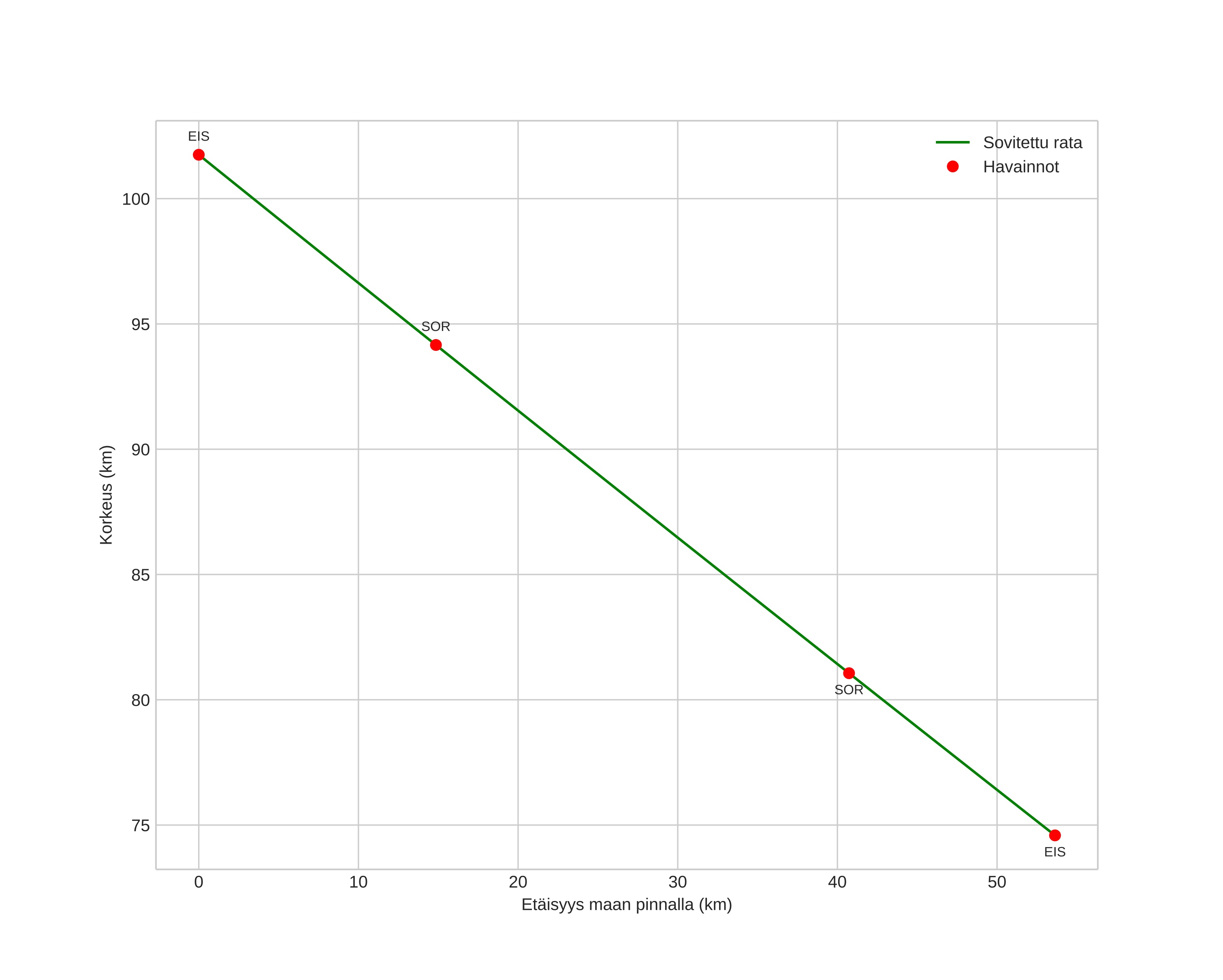
height profile
Meteorin ilmakehärata:
Alkukorkeus: 102,9 km
Loppukorkeus: 74,2 km
Alkupiste: 68,827N 24,969E
Loppupiste: 69,050N 26,095E
Suunta: 60,6°
Kallistuskulma: 29,2°
Tulonopeus: 44,4 km/s
Radiantin R,A,: 06:20 (95,2°)
Radiantin Dekl,: 16,4°
Meteoriparvi: Sporadinen
Meteoroidin rataelementit:
Perihelietäisyys: 0,102 AU
Eksentrisyys: 0,992
Inklinaatio: 22,7°
Nousevan solmun pituus: 70,6°
Perihelin argumentti: 143,3°
Keskianomalia: 359,3°
Epookki: 2022 DEC 03 03:27:50
orbit plot

Ei-interaktiivinen kuvaaja | Interaktiivinen kuvaaja

position vs time
speed and acceleration