🇳🇴 🇬🇧 🇩🇪 🇨🇿 🇫🇮

Meteor, poloha: Melbu 2022-12-03 14:37:36 UTC

Soubor KML  |  InteraktivnĂ­ mapa

Mapa zobrazuje dráhy meteoru. Světlejší čáry ukazují směry od pozorovacích stanic při objevení se meteoru a tmavší čáry, kde byl naposledy viděn. Modrá šipka značí viditelnou dráhu meteoru.

static map
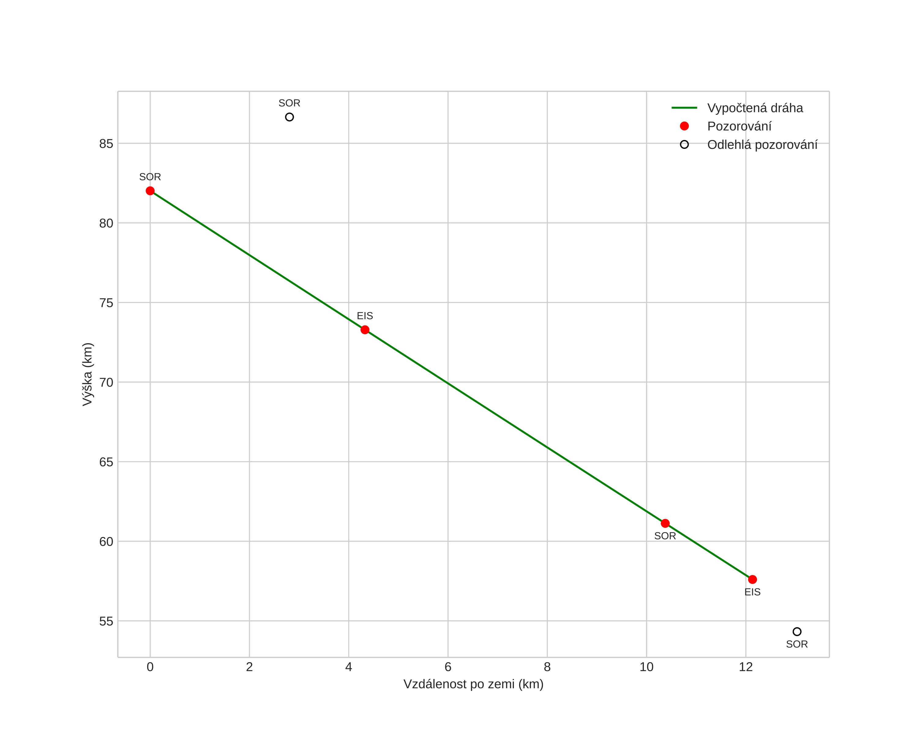
height profile
Atmosférická dráha meteoru:
Počáteční výška: 81,1 km
Konečná výška: 54,9 km
Počáteční poloha: 68,320N 14,456E
Konečná poloha: 68,432N 14,683E
Směr: 36,7°
Sklon: 59,3°
VstupnĂ­ rychlost: 20,9 km/s
Rektascenze radiantu: 18:43 (280,9°)
Deklinace radiantu: 37,7°
MeteorickĂ˝ roj: sporadickĂ˝
Elementy dráhy meteoroidu:
Vzdálenost v periheliu: 0,951 AU
Excentricita: 0,722
Sklon dráhy: 23,6°
Délka vzestupného uzlu: 251,1°
Argument perihelia: 156,2°
Střední anomálie: 2,7°
Epocha: 2022 DEC 03 14:37:36
orbit plot

NeinteraktivnĂ­ graf | InteraktivnĂ­ graf

position vs time
speed and acceleration