🇳🇴 🇬🇧 🇩🇪 🇨🇿 🇫🇮

Meteor Melbun yllä 2022-12-03 14:37:36 UTC

KML-tiedosto  |  Interaktiivinen kartta

Kartta näyttää meteorin suuntahavainnot. Vaaleammat viivat näyttävät suunnat havaintoasemilta meteorin ilmestyessä, ja tummemmat viivat näyttävät, missä se viimeksi nähtiin. Sininen nuoli näyttää meteorin näkyvän lennon.

static map
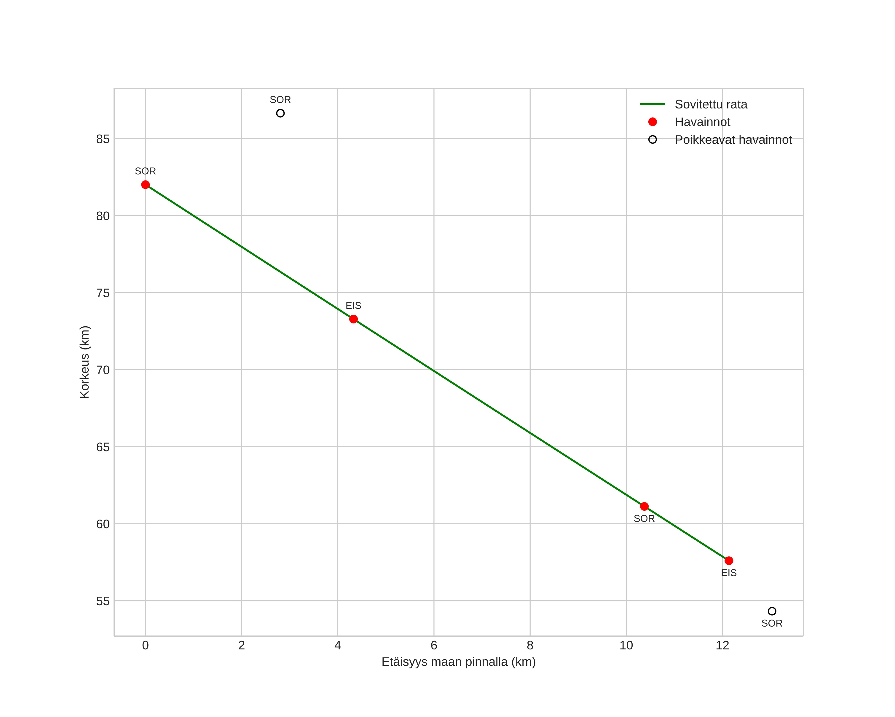
height profile
Meteorin ilmakehärata:
Alkukorkeus: 81,1 km
Loppukorkeus: 54,9 km
Alkupiste: 68,320N 14,456E
Loppupiste: 68,432N 14,683E
Suunta: 36,7°
Kallistuskulma: 59,3°
Tulonopeus: 20,9 km/s
Radiantin R,A,: 18:43 (280,9°)
Radiantin Dekl,: 37,7°
Meteoriparvi: Sporadinen
Meteoroidin rataelementit:
Perihelietäisyys: 0,951 AU
Eksentrisyys: 0,722
Inklinaatio: 23,6°
Nousevan solmun pituus: 251,1°
Perihelin argumentti: 156,2°
Keskianomalia: 2,7°
Epookki: 2022 DEC 03 14:37:36
orbit plot

Ei-interaktiivinen kuvaaja | Interaktiivinen kuvaaja

position vs time
speed and acceleration