🇳🇴 🇬🇧 🇩🇪 🇨🇿 🇫🇮

Meteor, poloha: Hatteng 2022-12-04 00:59:43 UTC

Soubor KML  |  InteraktivnĂ­ mapa

Mapa zobrazuje dráhy meteoru. Světlejší čáry ukazují směry od pozorovacích stanic při objevení se meteoru a tmavší čáry, kde byl naposledy viděn. Modrá šipka značí viditelnou dráhu meteoru.

static map
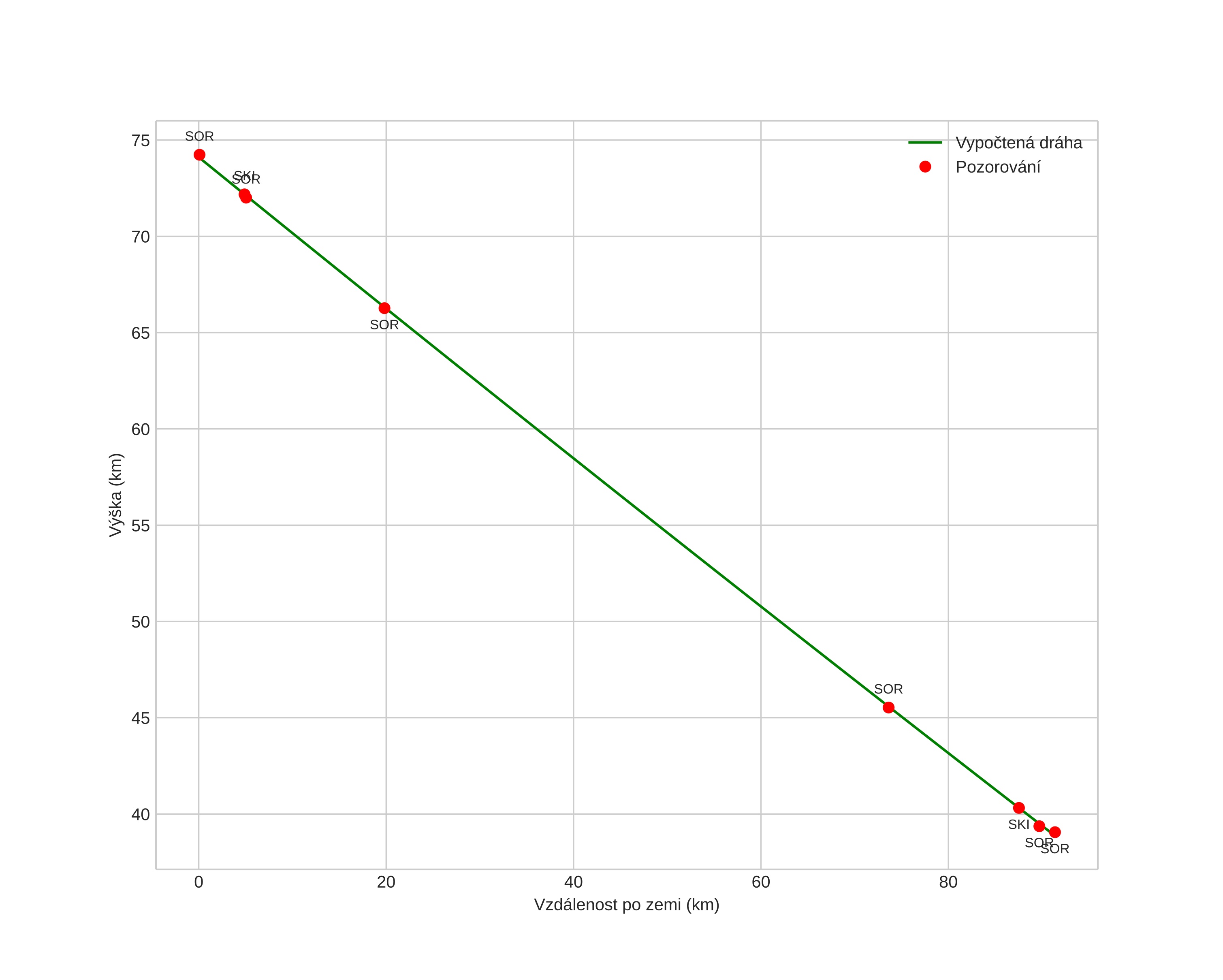
height profile
Atmosférická dráha meteoru:
Počáteční výška: 74,1 km
Konečná výška: 38,6 km
Počáteční poloha: 69,373N 21,010E
Konečná poloha: 68,610N 20,117E
Směr: 203,2°
Sklon: 21,1°
VstupnĂ­ rychlost: 14,3 km/s
Rektascenze radiantu: 17:36 (264,1°)
Deklinace radiantu: 22,2°
MeteorickĂ˝ roj: sporadickĂ˝
Elementy dráhy meteoroidu:
Vzdálenost v periheliu: 0,897 AU
Excentricita: 0,250
Sklon dráhy: 11,5°
Délka vzestupného uzlu: 251,5°
Argument perihelia: 123,3°
Střední anomálie: 35,2°
Epocha: 2022 DEC 04 00:59:43
orbit plot

NeinteraktivnĂ­ graf | InteraktivnĂ­ graf

position vs time
speed and acceleration