🇳🇴 🇬🇧 🇩🇪 🇨🇿 🇫🇮

Meteor Hattengin yllä 2022-12-04 00:59:43 UTC

KML-tiedosto  |  Interaktiivinen kartta

Kartta näyttää meteorin suuntahavainnot. Vaaleammat viivat näyttävät suunnat havaintoasemilta meteorin ilmestyessä, ja tummemmat viivat näyttävät, missä se viimeksi nähtiin. Sininen nuoli näyttää meteorin näkyvän lennon.

static map
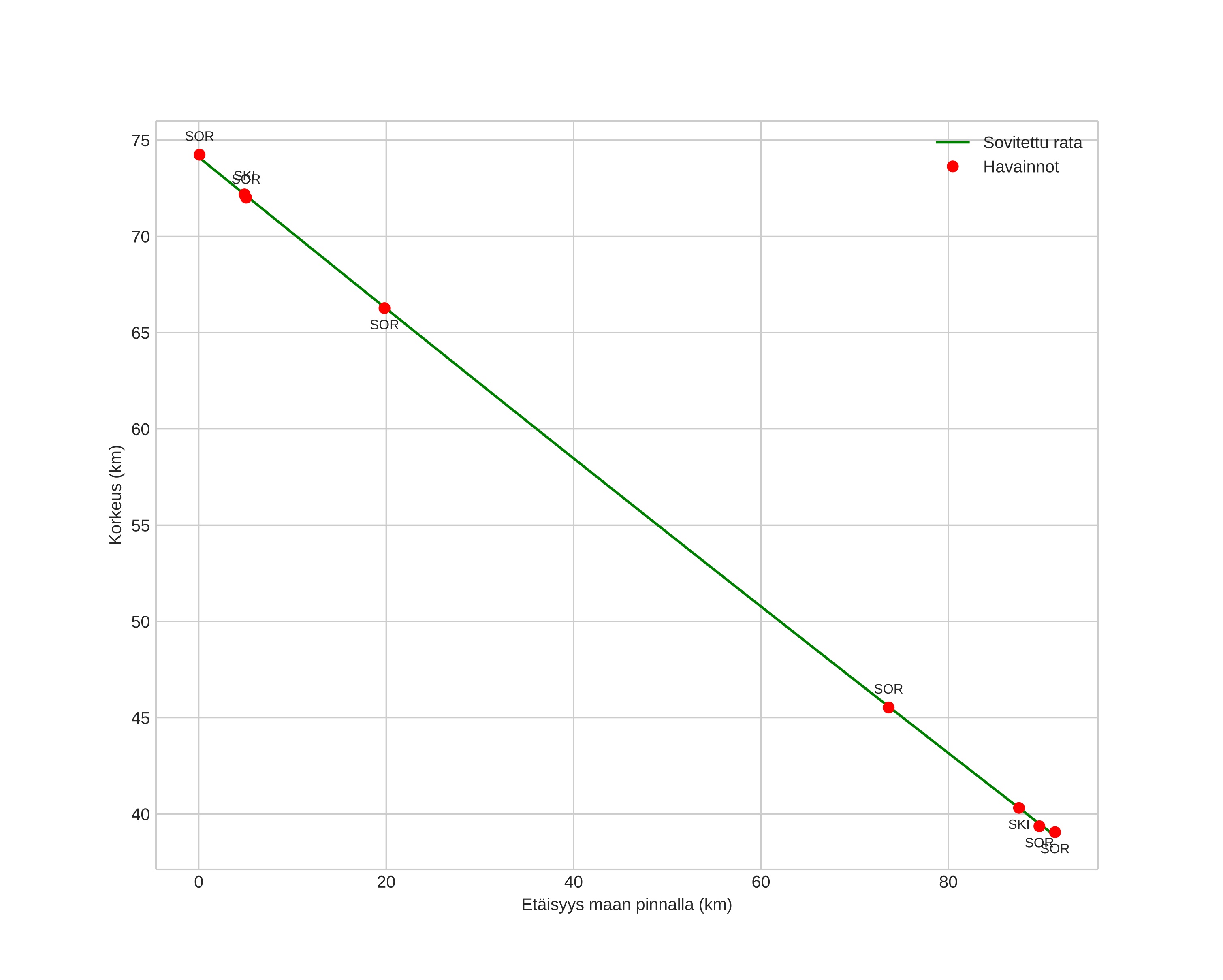
height profile
Meteorin ilmakehärata:
Alkukorkeus: 74,1 km
Loppukorkeus: 38,6 km
Alkupiste: 69,373N 21,010E
Loppupiste: 68,610N 20,117E
Suunta: 203,2°
Kallistuskulma: 21,1°
Tulonopeus: 14,3 km/s
Radiantin R,A,: 17:36 (264,1°)
Radiantin Dekl,: 22,2°
Meteoriparvi: Sporadinen
Meteoroidin rataelementit:
Perihelietäisyys: 0,897 AU
Eksentrisyys: 0,250
Inklinaatio: 11,5°
Nousevan solmun pituus: 251,5°
Perihelin argumentti: 123,3°
Keskianomalia: 35,2°
Epookki: 2022 DEC 04 00:59:43
orbit plot

Ei-interaktiivinen kuvaaja | Interaktiivinen kuvaaja

position vs time
speed and acceleration