🇳🇴 🇬🇧 🇩🇪 🇨🇿 🇫🇮

Meteor, poloha: Myra 2022-12-06 04:20:59 UTC

Soubor KML  |  InteraktivnĂ­ mapa

Mapa zobrazuje dráhy meteoru. Světlejší čáry ukazují směry od pozorovacích stanic při objevení se meteoru a tmavší čáry, kde byl naposledy viděn. Modrá šipka značí viditelnou dráhu meteoru.

static map
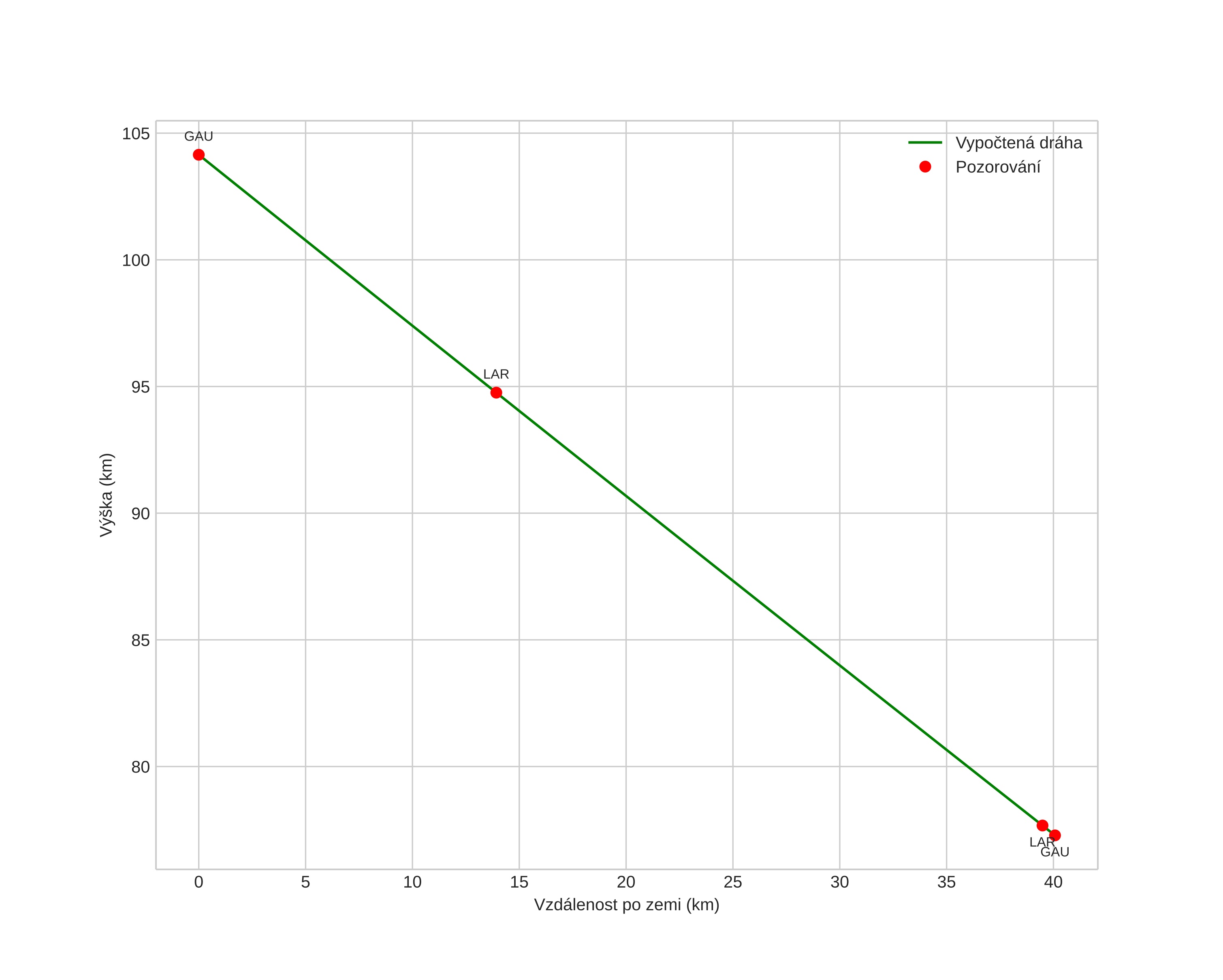
height profile
Atmosférická dráha meteoru:
Počáteční výška: 97,2 km
Konečná výška: 78,0 km
Počáteční poloha: 58,564N 8,387E
Konečná poloha: 58,685N 8,849E
Směr: 63,1°
Sklon: 32,7°
VstupnĂ­ rychlost: 46,9 km/s
Rektascenze radiantu: 06:26 (96,5°)
Deklinace radiantu: 14,3°
MeteorickĂ˝ roj: Monocerotidy
Elementy dráhy meteoroidu:
Vzdálenost v periheliu: 0,116 AU
Excentricita: 1,022
Sklon dráhy: 29,1°
Délka vzestupného uzlu: 73,7°
Argument perihelia: 138,2°
Střední anomálie: -2,5°
Epocha: 2022 DEC 06 04:20:59
orbit plot

NeinteraktivnĂ­ graf | InteraktivnĂ­ graf

position vs time
speed and acceleration