🇳🇴 🇬🇧 🇩🇪 🇨🇿 🇫🇮

Meteor Myran yllä 2022-12-06 04:20:59 UTC

KML-tiedosto  |  Interaktiivinen kartta

Kartta näyttää meteorin suuntahavainnot. Vaaleammat viivat näyttävät suunnat havaintoasemilta meteorin ilmestyessä, ja tummemmat viivat näyttävät, missä se viimeksi nähtiin. Sininen nuoli näyttää meteorin näkyvän lennon.

static map
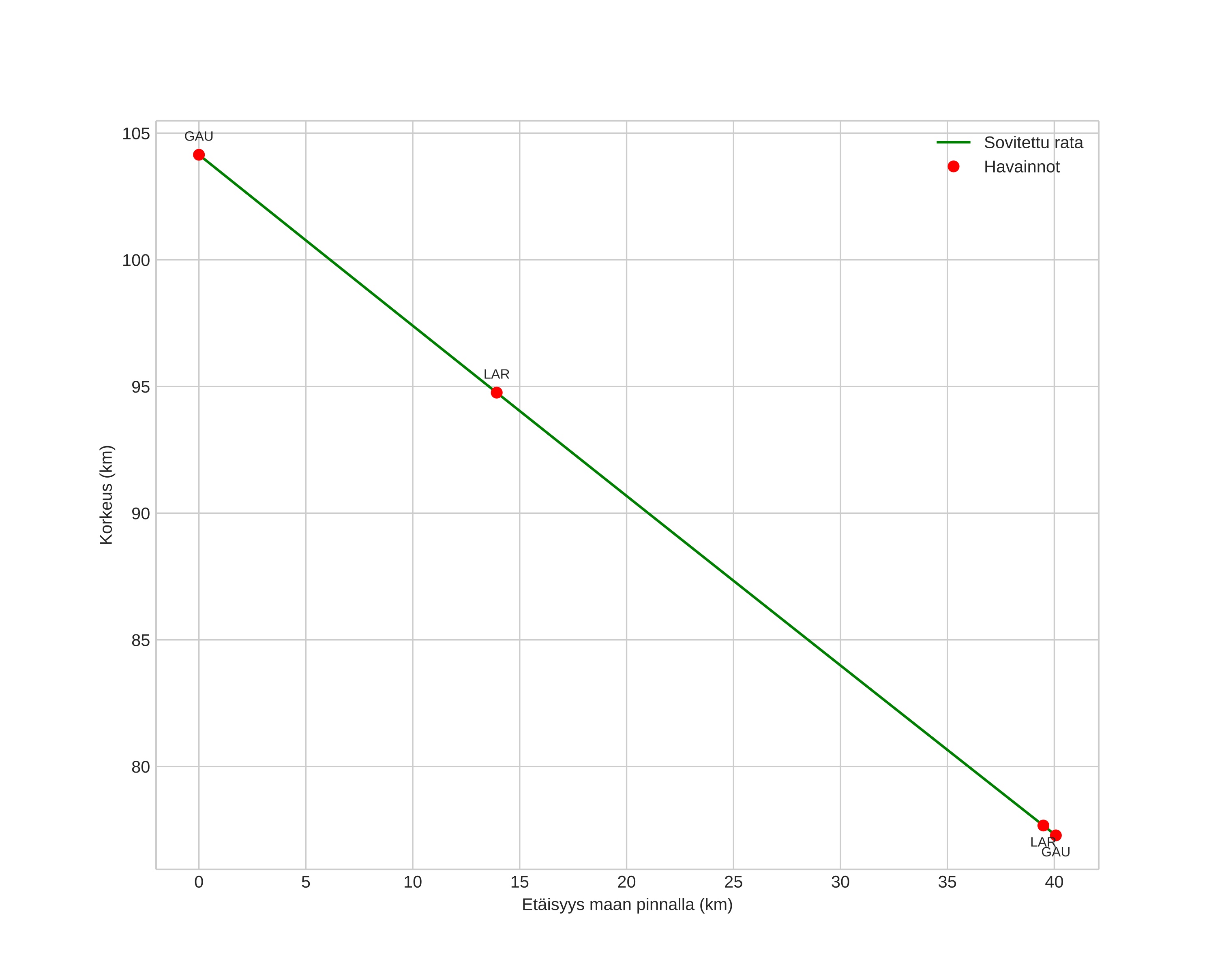
height profile
Meteorin ilmakehärata:
Alkukorkeus: 97,2 km
Loppukorkeus: 78,0 km
Alkupiste: 58,564N 8,387E
Loppupiste: 58,685N 8,849E
Suunta: 63,1°
Kallistuskulma: 32,7°
Tulonopeus: 46,9 km/s
Radiantin R,A,: 06:26 (96,5°)
Radiantin Dekl,: 14,3°
Meteoriparvi: Monoserotidit
Meteoroidin rataelementit:
Perihelietäisyys: 0,116 AU
Eksentrisyys: 1,022
Inklinaatio: 29,1°
Nousevan solmun pituus: 73,7°
Perihelin argumentti: 138,2°
Keskianomalia: -2,5°
Epookki: 2022 DEC 06 04:20:59
orbit plot

Ei-interaktiivinen kuvaaja | Interaktiivinen kuvaaja

position vs time
speed and acceleration