🇳🇴 🇬🇧 🇩🇪 🇨🇿 🇫🇮

Meteor, poloha: RĂĄholt 2022-12-07 02:29:01 UTC

Soubor KML  |  InteraktivnĂ­ mapa

Mapa zobrazuje dráhy meteoru. Světlejší čáry ukazují směry od pozorovacích stanic při objevení se meteoru a tmavší čáry, kde byl naposledy viděn. Modrá šipka značí viditelnou dráhu meteoru.

static map
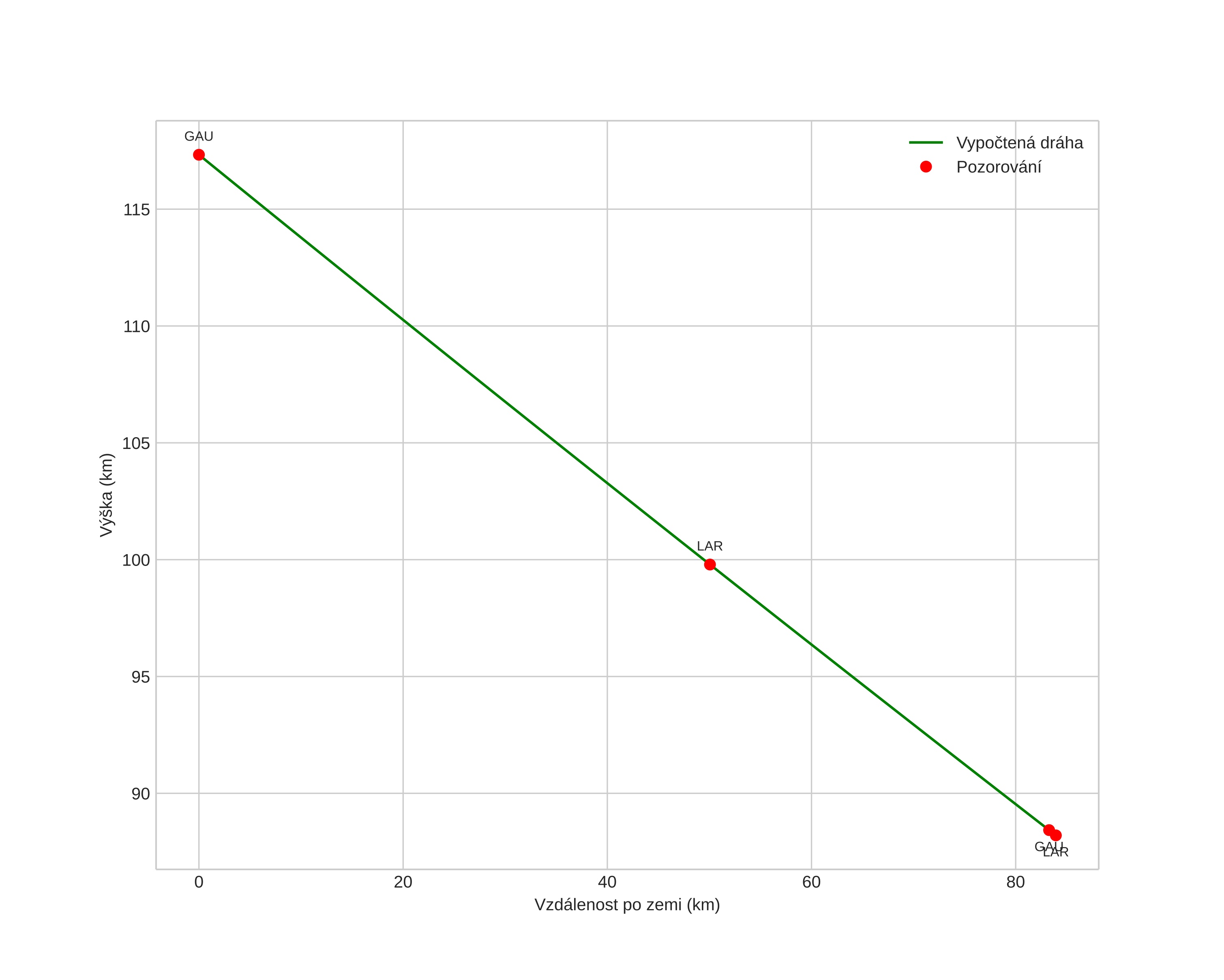
height profile
Atmosférická dráha meteoru:
Počáteční výška: 119,0 km
Konečná výška: 88,1 km
Počáteční poloha: 60,198N 12,703E
Konečná poloha: 60,328N 11,148E
Směr: 280,2°
Sklon: 19,6°
VstupnĂ­ rychlost: 76,2 km/s
Rektascenze radiantu: 13:07 (197,0°)
Deklinace radiantu: 11,7°
MeteorickĂ˝ roj: sporadickĂ˝
Elementy dráhy meteoroidu:
Vzdálenost v periheliu: 0,684 AU
Excentricita: 1,665
Sklon dráhy: 146,5°
Délka vzestupného uzlu: 254,6°
Argument perihelia: 120,7°
Střední anomálie: 25,5°
Epocha: 2022 DEC 07 02:29:01
orbit plot

NeinteraktivnĂ­ graf | InteraktivnĂ­ graf

position vs time
speed and acceleration