🇳🇴 🇬🇧 🇩🇪 🇨🇿 🇫🇮

Meteor Råholtin yllä 2022-12-07 02:29:01 UTC

KML-tiedosto  |  Interaktiivinen kartta

Kartta näyttää meteorin suuntahavainnot. Vaaleammat viivat näyttävät suunnat havaintoasemilta meteorin ilmestyessä, ja tummemmat viivat näyttävät, missä se viimeksi nähtiin. Sininen nuoli näyttää meteorin näkyvän lennon.

static map
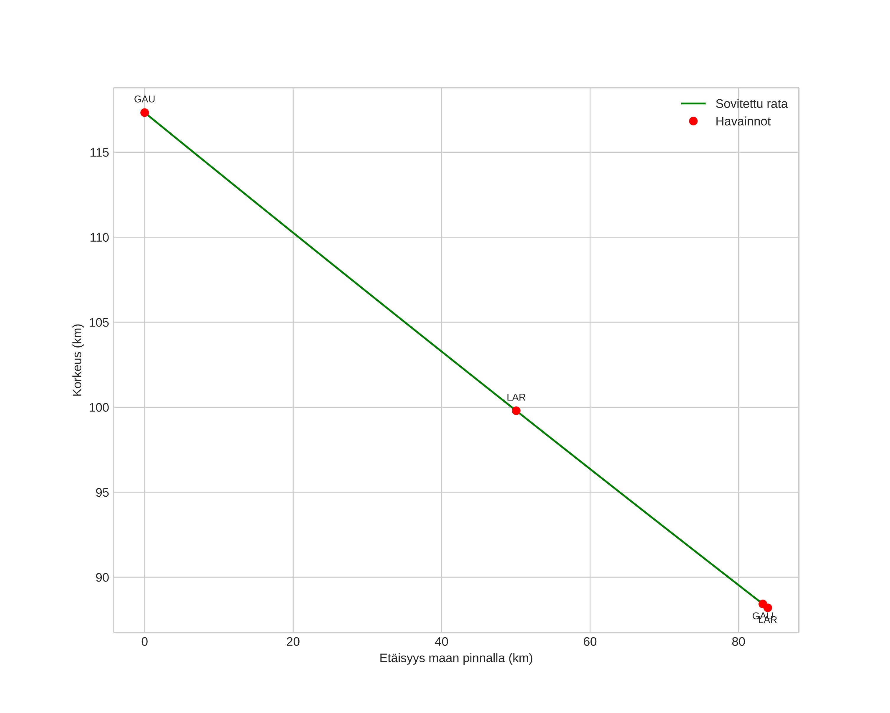
height profile
Meteorin ilmakehärata:
Alkukorkeus: 119,0 km
Loppukorkeus: 88,1 km
Alkupiste: 60,198N 12,703E
Loppupiste: 60,328N 11,148E
Suunta: 280,2°
Kallistuskulma: 19,6°
Tulonopeus: 76,2 km/s
Radiantin R,A,: 13:07 (197,0°)
Radiantin Dekl,: 11,7°
Meteoriparvi: Sporadinen
Meteoroidin rataelementit:
Perihelietäisyys: 0,684 AU
Eksentrisyys: 1,665
Inklinaatio: 146,5°
Nousevan solmun pituus: 254,6°
Perihelin argumentti: 120,7°
Keskianomalia: 25,5°
Epookki: 2022 DEC 07 02:29:01
orbit plot

Ei-interaktiivinen kuvaaja | Interaktiivinen kuvaaja

position vs time
speed and acceleration