🇳🇴 🇬🇧 🇩🇪 🇨🇿 🇫🇮

Meteor, poloha: Brøstadbotn 2022-12-09 22:09:11 UTC

Soubor KML  |  InteraktivnĂ­ mapa

Mapa zobrazuje dráhy meteoru. Světlejší čáry ukazují směry od pozorovacích stanic při objevení se meteoru a tmavší čáry, kde byl naposledy viděn. Modrá šipka značí viditelnou dráhu meteoru.

static map
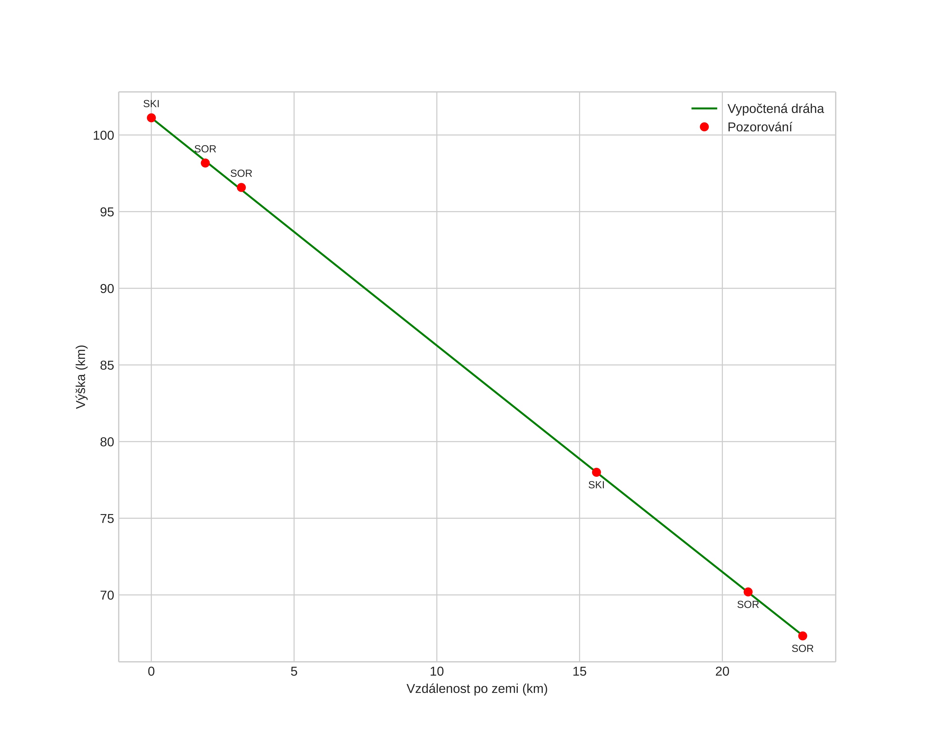
height profile
Atmosférická dráha meteoru:
Počáteční výška: 101,2 km
Konečná výška: 67,2 km
Počáteční poloha: 69,280N 17,560E
Konečná poloha: 69,078N 17,468E
Směr: 189,3°
Sklon: 56,2°
VstupnĂ­ rychlost: 37,3 km/s
Rektascenze radiantu: 15:11 (227,9°)
Deklinace radiantu: 75,7°
MeteorickĂ˝ roj: sporadickĂ˝
Elementy dráhy meteoroidu:
Vzdálenost v periheliu: 0,960 AU
Excentricita: 0,929
Sklon dráhy: 56,4°
Délka vzestupného uzlu: 257,5°
Argument perihelia: 198,6°
Střední anomálie: 359,7°
Epocha: 2022 DEC 09 22:09:11
orbit plot

NeinteraktivnĂ­ graf | InteraktivnĂ­ graf

position vs time
speed and acceleration

Sorreisa (SOR) cam3

gnomonic
Videa
Obrázky
• Původní
Textové soubory
• Detekce
• Pozorování
• Souřadnice
• Chybová hlášení
• Protokol
Jasnost