🇳🇴 🇬🇧 🇩🇪 🇨🇿 🇫🇮

Meteor Brøstadbotnin yllä 2022-12-09 22:09:11 UTC

KML-tiedosto  |  Interaktiivinen kartta

Kartta näyttää meteorin suuntahavainnot. Vaaleammat viivat näyttävät suunnat havaintoasemilta meteorin ilmestyessä, ja tummemmat viivat näyttävät, missä se viimeksi nähtiin. Sininen nuoli näyttää meteorin näkyvän lennon.

static map
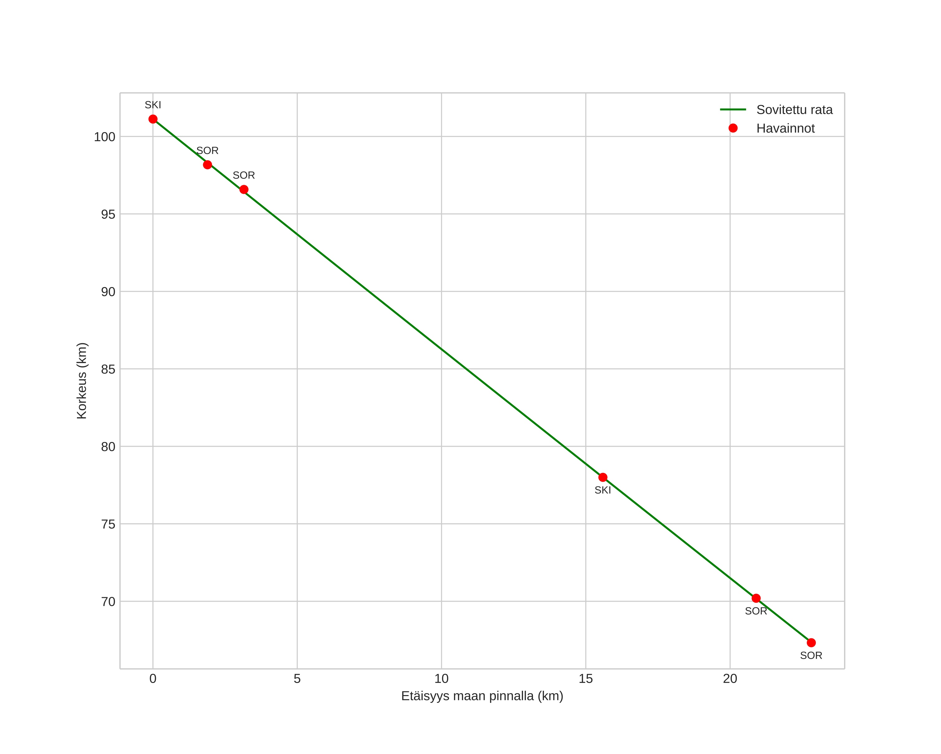
height profile
Meteorin ilmakehärata:
Alkukorkeus: 101,2 km
Loppukorkeus: 67,2 km
Alkupiste: 69,280N 17,560E
Loppupiste: 69,078N 17,468E
Suunta: 189,3°
Kallistuskulma: 56,2°
Tulonopeus: 37,3 km/s
Radiantin R,A,: 15:11 (227,9°)
Radiantin Dekl,: 75,7°
Meteoriparvi: Sporadinen
Meteoroidin rataelementit:
Perihelietäisyys: 0,960 AU
Eksentrisyys: 0,929
Inklinaatio: 56,4°
Nousevan solmun pituus: 257,5°
Perihelin argumentti: 198,6°
Keskianomalia: 359,7°
Epookki: 2022 DEC 09 22:09:11
orbit plot

Ei-interaktiivinen kuvaaja | Interaktiivinen kuvaaja

position vs time
speed and acceleration

Sorreisa (SOR) cam3

gnomonic
Videot:
Kuvat:
• Alkuperäinen
Tekstitiedostot:
• Havaintoraportti
• Observaatio
• Koordinaatit
• Virheilmoitukset
• Loki
Kirkkaus