🇳🇴 🇬🇧 🇩🇪 🇨🇿 🇫🇮

Meteor, poloha: Hansnes 2022-12-10 04:11:42 UTC

Soubor KML  |  InteraktivnĂ­ mapa

Mapa zobrazuje dráhy meteoru. Světlejší čáry ukazují směry od pozorovacích stanic při objevení se meteoru a tmavší čáry, kde byl naposledy viděn. Modrá šipka značí viditelnou dráhu meteoru.

static map
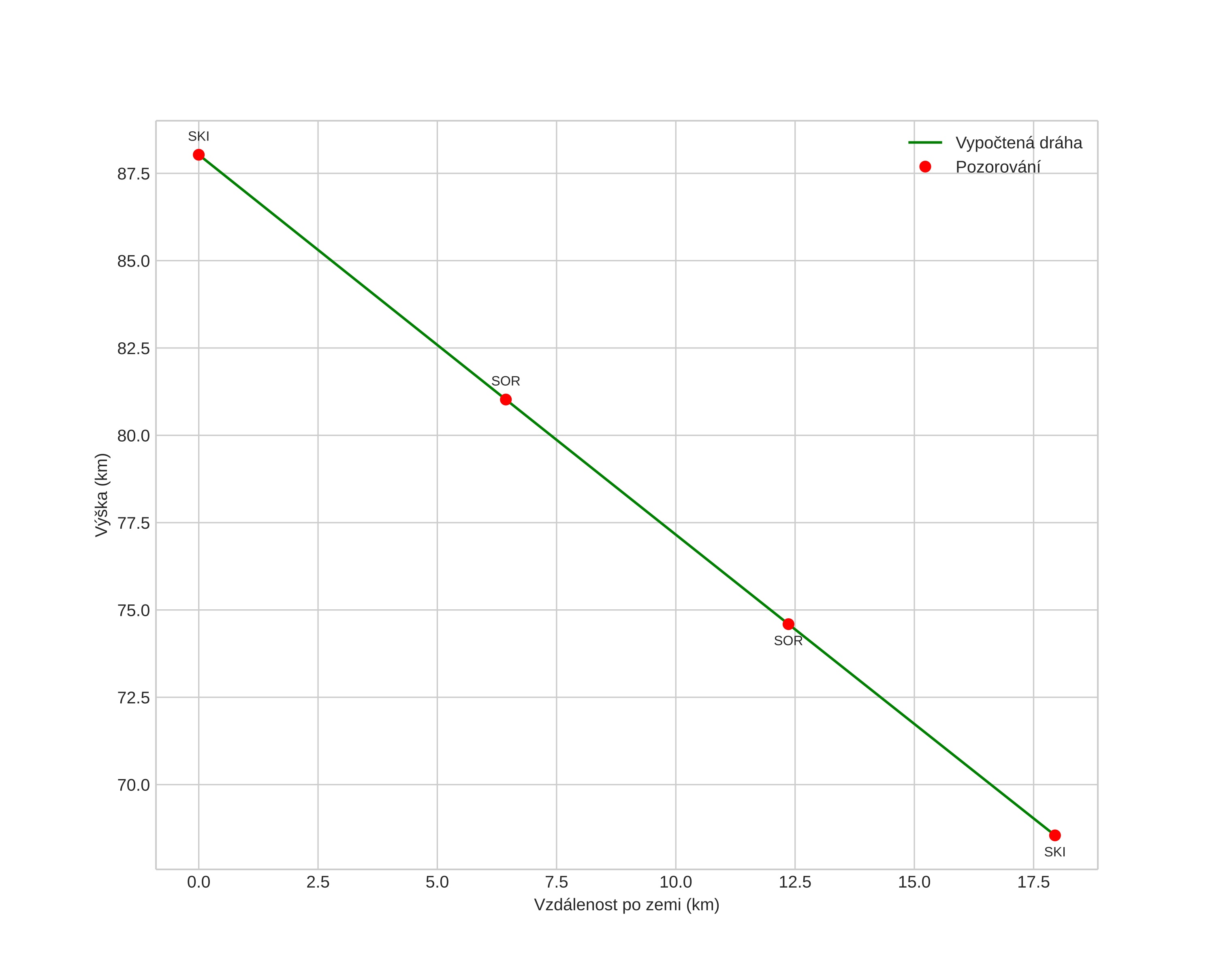
height profile
Atmosférická dráha meteoru:
Počáteční výška: 87,7 km
Konečná výška: 71,1 km
Počáteční poloha: 70,519N 20,188E
Konečná poloha: 70,393N 20,006E
Směr: 205,7°
Sklon: 46,8°
VstupnĂ­ rychlost: 28,2 km/s
Rektascenze radiantu: 20:09 (302,3°)
Deklinace radiantu: 61,6°
MeteorickĂ˝ roj: sporadickĂ˝
Elementy dráhy meteoroidu:
Vzdálenost v periheliu: 0,984 AU
Excentricita: 1,198
Sklon dráhy: 34,3°
Délka vzestupného uzlu: 257,7°
Argument perihelia: 182,6°
Střední anomálie: -0,2°
Epocha: 2022 DEC 10 04:11:42
orbit plot

NeinteraktivnĂ­ graf | InteraktivnĂ­ graf

position vs time
speed and acceleration