🇳🇴 🇬🇧 🇩🇪 🇨🇿 🇫🇮

Meteor Hansnesin yllä 2022-12-10 04:11:42 UTC

KML-tiedosto  |  Interaktiivinen kartta

Kartta näyttää meteorin suuntahavainnot. Vaaleammat viivat näyttävät suunnat havaintoasemilta meteorin ilmestyessä, ja tummemmat viivat näyttävät, missä se viimeksi nähtiin. Sininen nuoli näyttää meteorin näkyvän lennon.

static map
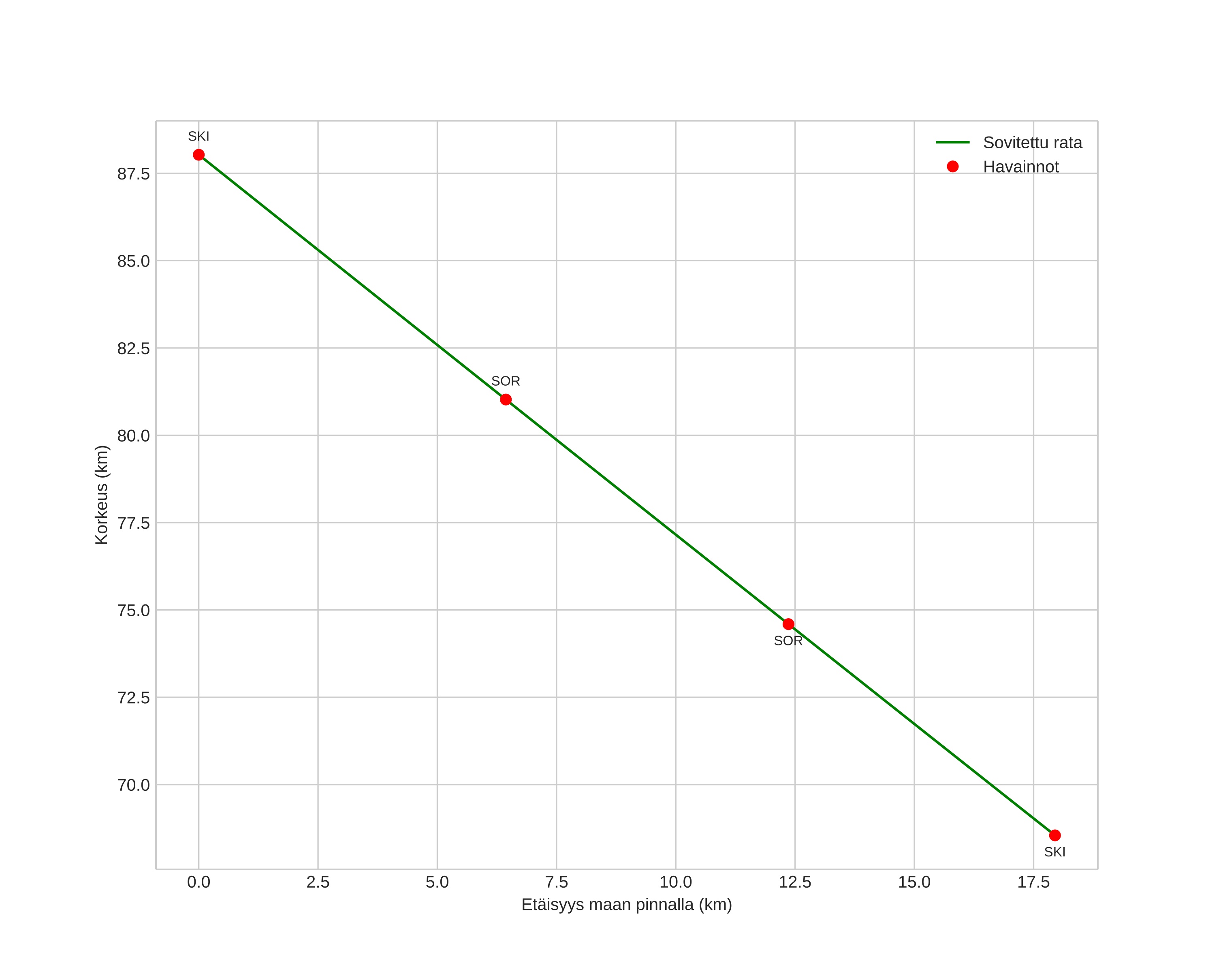
height profile
Meteorin ilmakehärata:
Alkukorkeus: 87,7 km
Loppukorkeus: 71,1 km
Alkupiste: 70,519N 20,188E
Loppupiste: 70,393N 20,006E
Suunta: 205,7°
Kallistuskulma: 46,8°
Tulonopeus: 28,2 km/s
Radiantin R,A,: 20:09 (302,3°)
Radiantin Dekl,: 61,6°
Meteoriparvi: Sporadinen
Meteoroidin rataelementit:
Perihelietäisyys: 0,984 AU
Eksentrisyys: 1,198
Inklinaatio: 34,3°
Nousevan solmun pituus: 257,7°
Perihelin argumentti: 182,6°
Keskianomalia: -0,2°
Epookki: 2022 DEC 10 04:11:42
orbit plot

Ei-interaktiivinen kuvaaja | Interaktiivinen kuvaaja

position vs time
speed and acceleration