🇳🇴 🇬🇧 🇩🇪 🇨🇿 🇫🇮

Meteor, poloha: SkĂĄlevik 2022-12-11 01:51:09 UTC

Soubor KML  |  InteraktivnĂ­ mapa

Mapa zobrazuje dráhy meteoru. Světlejší čáry ukazují směry od pozorovacích stanic při objevení se meteoru a tmavší čáry, kde byl naposledy viděn. Modrá šipka značí viditelnou dráhu meteoru.

static map
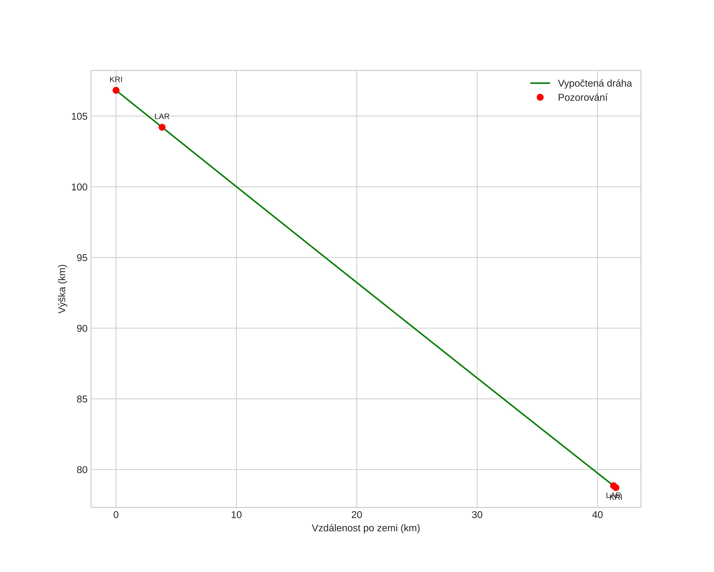
height profile
Atmosférická dráha meteoru:
Počáteční výška: 107,6 km
Konečná výška: 79,1 km
Počáteční poloha: 57,471N 8,300E
Konečná poloha: 57,836N 8,124E
Směr: 345,6°
Sklon: 34,2°
VstupnĂ­ rychlost: 60,8 km/s
Rektascenze radiantu: 08:28 (127,2°)
Deklinace radiantu: 2,0°
MeteorickĂ˝ roj: Sigma Hydridy
Elementy dráhy meteoroidu:
Vzdálenost v periheliu: 0,263 AU
Excentricita: 1,008
Sklon dráhy: 129,1°
Délka vzestupného uzlu: 78,7°
Argument perihelia: 117,4°
Střední anomálie: -0,2°
Epocha: 2022 DEC 11 01:51:09
orbit plot

NeinteraktivnĂ­ graf | InteraktivnĂ­ graf

position vs time
speed and acceleration