🇳🇴 🇬🇧 🇩🇪 🇨🇿 🇫🇮

Meteor Skålevikin yllä 2022-12-11 01:51:09 UTC

KML-tiedosto  |  Interaktiivinen kartta

Kartta näyttää meteorin suuntahavainnot. Vaaleammat viivat näyttävät suunnat havaintoasemilta meteorin ilmestyessä, ja tummemmat viivat näyttävät, missä se viimeksi nähtiin. Sininen nuoli näyttää meteorin näkyvän lennon.

static map
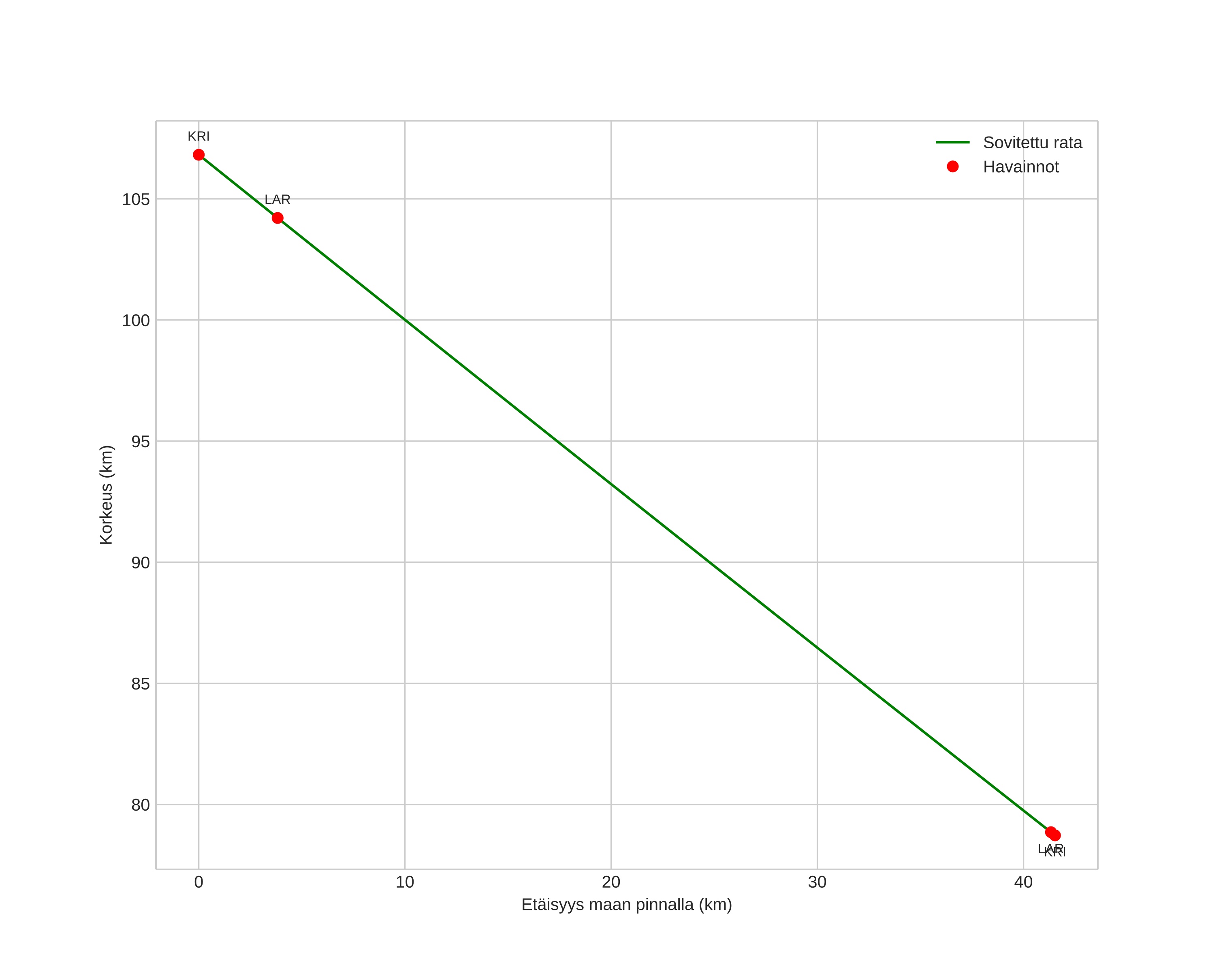
height profile
Meteorin ilmakehärata:
Alkukorkeus: 107,6 km
Loppukorkeus: 79,1 km
Alkupiste: 57,471N 8,300E
Loppupiste: 57,836N 8,124E
Suunta: 345,6°
Kallistuskulma: 34,2°
Tulonopeus: 60,8 km/s
Radiantin R,A,: 08:28 (127,2°)
Radiantin Dekl,: 2,0°
Meteoriparvi: Sigma-hydridit
Meteoroidin rataelementit:
Perihelietäisyys: 0,263 AU
Eksentrisyys: 1,008
Inklinaatio: 129,1°
Nousevan solmun pituus: 78,7°
Perihelin argumentti: 117,4°
Keskianomalia: -0,2°
Epookki: 2022 DEC 11 01:51:09
orbit plot

Ei-interaktiivinen kuvaaja | Interaktiivinen kuvaaja

position vs time
speed and acceleration