🇳🇴 🇬🇧 🇩🇪 🇨🇿 🇫🇮

Meteor, poloha: Årjäng 2022-12-11 02:25:52 UTC

Soubor KML  |  InteraktivnĂ­ mapa

Mapa zobrazuje dráhy meteoru. Světlejší čáry ukazují směry od pozorovacích stanic při objevení se meteoru a tmavší čáry, kde byl naposledy viděn. Modrá šipka značí viditelnou dráhu meteoru.

static map
height profile
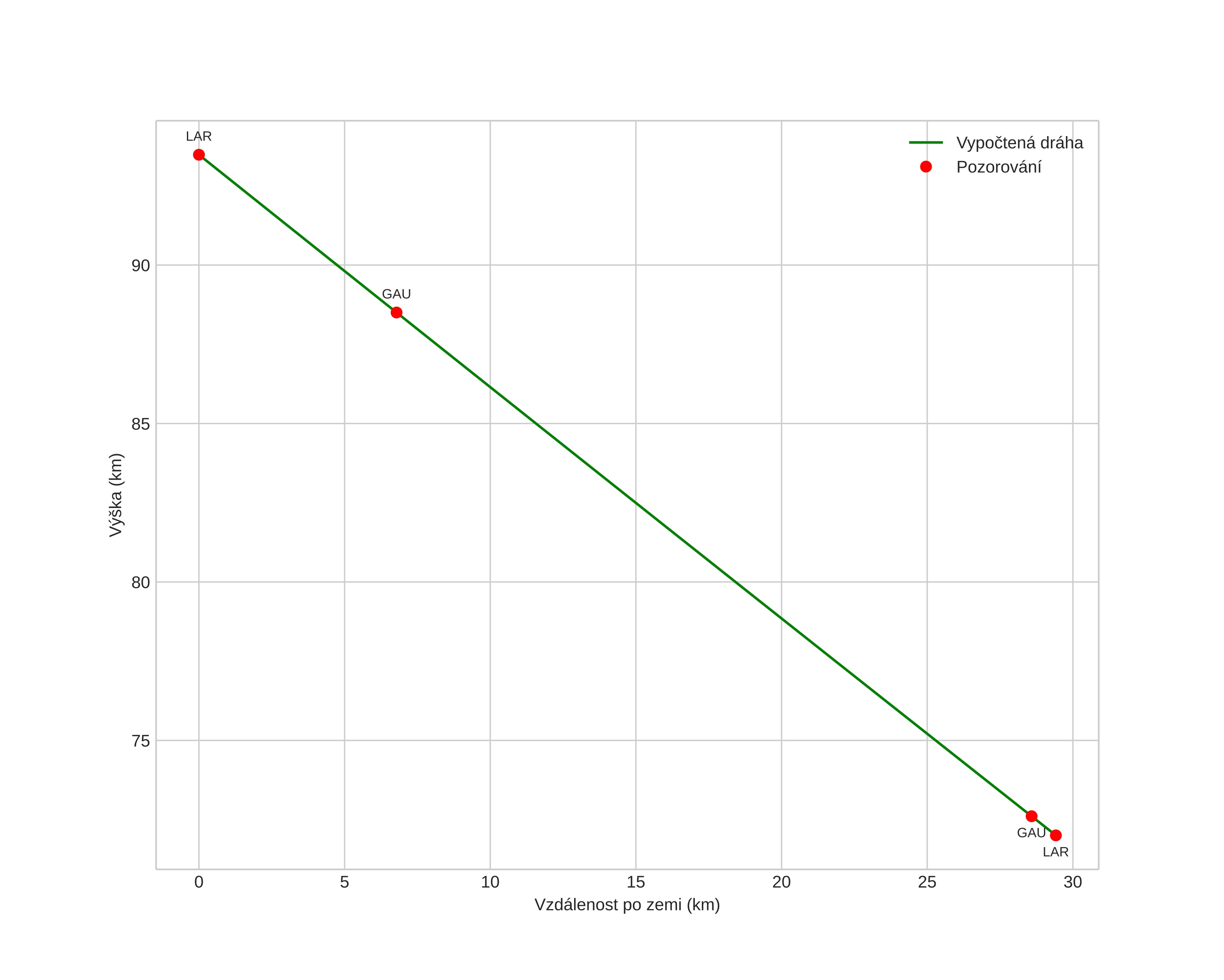
Atmosférická dráha meteoru:
Počáteční výška: 92,9 km
Konečná výška: 72,0 km
Počáteční poloha: 59,069N 11,873E
Konečná poloha: 59,263N 12,234E
Směr: 43,5°
Sklon: 35,0°
VstupnĂ­ rychlost: 31,1 km/s
Rektascenze radiantu: 06:06 (91,7°)
Deklinace radiantu: 8,8°
MeteorickĂ˝ roj: sporadickĂ˝
Elementy dráhy meteoroidu:
Vzdálenost v periheliu: 0,373 AU
Excentricita: 0,829
Sklon dráhy: 17,2°
Délka vzestupného uzlu: 78,7°
Argument perihelia: 111,8°
Střední anomálie: 347,0°
Epocha: 2022 DEC 11 02:25:52
orbit plot

NeinteraktivnĂ­ graf | InteraktivnĂ­ graf

position vs time
speed and acceleration