🇳🇴 🇬🇧 🇩🇪 🇨🇿 🇫🇮

Meteor Årjängin yllä 2022-12-11 02:25:52 UTC

KML-tiedosto  |  Interaktiivinen kartta

Kartta näyttää meteorin suuntahavainnot. Vaaleammat viivat näyttävät suunnat havaintoasemilta meteorin ilmestyessä, ja tummemmat viivat näyttävät, missä se viimeksi nähtiin. Sininen nuoli näyttää meteorin näkyvän lennon.

static map
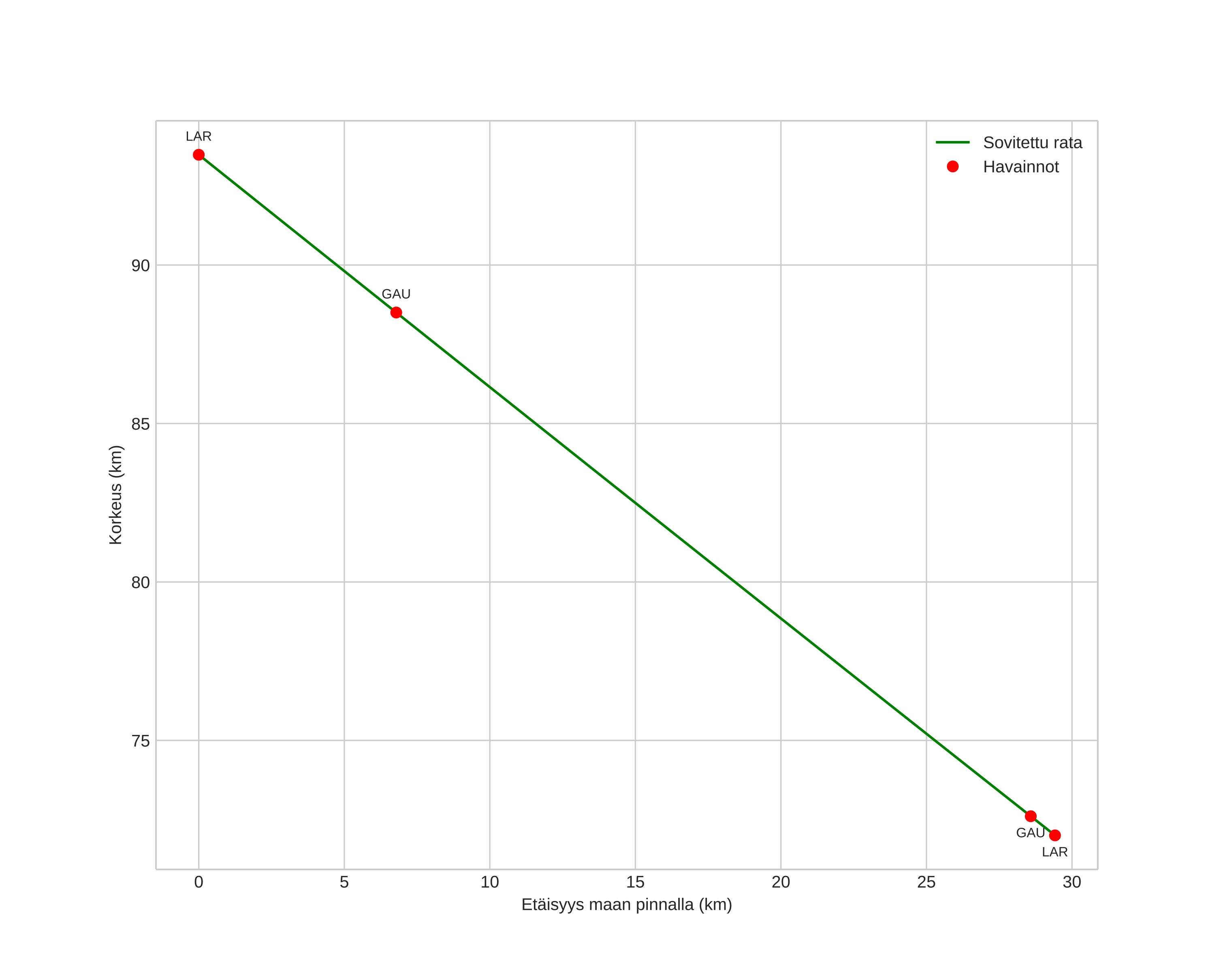
height profile
Meteorin ilmakehärata:
Alkukorkeus: 92,9 km
Loppukorkeus: 72,0 km
Alkupiste: 59,069N 11,873E
Loppupiste: 59,263N 12,234E
Suunta: 43,5°
Kallistuskulma: 35,0°
Tulonopeus: 31,1 km/s
Radiantin R,A,: 06:06 (91,7°)
Radiantin Dekl,: 8,8°
Meteoriparvi: Sporadinen
Meteoroidin rataelementit:
Perihelietäisyys: 0,373 AU
Eksentrisyys: 0,829
Inklinaatio: 17,2°
Nousevan solmun pituus: 78,7°
Perihelin argumentti: 111,8°
Keskianomalia: 347,0°
Epookki: 2022 DEC 11 02:25:52
orbit plot

Ei-interaktiivinen kuvaaja | Interaktiivinen kuvaaja

position vs time
speed and acceleration