🇳🇴 🇬🇧 🇩🇪 🇨🇿 🇫🇮

Meteor, poloha: Burfjord 2022-12-11 02:26:53 UTC

Soubor KML  |  InteraktivnĂ­ mapa

Mapa zobrazuje dráhy meteoru. Světlejší čáry ukazují směry od pozorovacích stanic při objevení se meteoru a tmavší čáry, kde byl naposledy viděn. Modrá šipka značí viditelnou dráhu meteoru.

static map
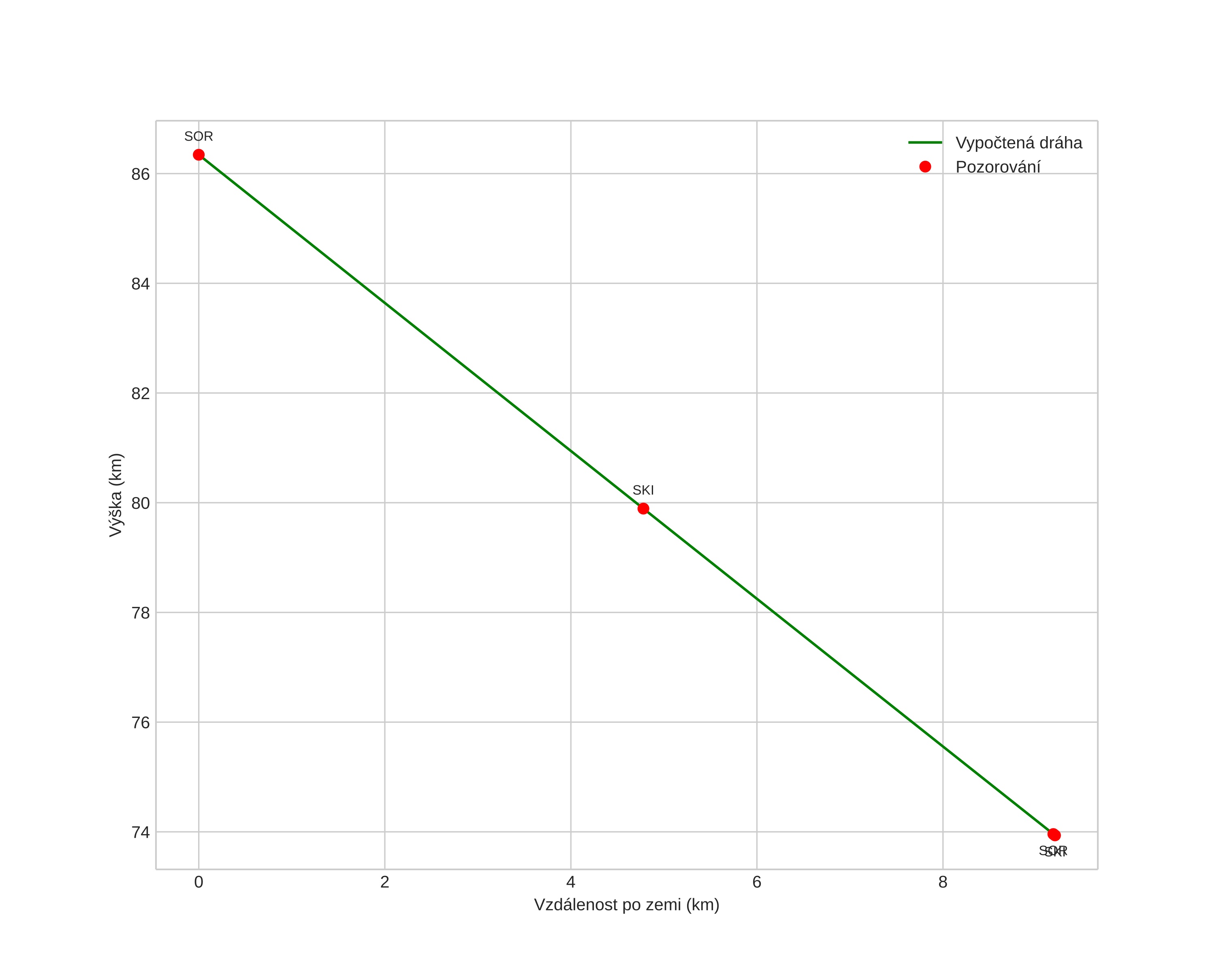
height profile
Atmosférická dráha meteoru:
Počáteční výška: 87,3 km
Konečná výška: 74,5 km
Počáteční poloha: 69,264N 21,591E
Konečná poloha: 69,330N 21,709E
Směr: 32,3°
Sklon: 55,8°
VstupnĂ­ rychlost: 41,0 km/s
Rektascenze radiantu: 07:40 (115,1°)
Deklinace radiantu: 36,6°
MeteorickĂ˝ roj: Geminidy
Elementy dráhy meteoroidu:
Vzdálenost v periheliu: 0,115 AU
Excentricita: 0,930
Sklon dráhy: 45,3°
Délka vzestupného uzlu: 258,7°
Argument perihelia: 326,3°
Střední anomálie: 343,8°
Epocha: 2022 DEC 11 02:26:53
orbit plot

NeinteraktivnĂ­ graf | InteraktivnĂ­ graf

position vs time
speed and acceleration