🇳🇴 🇬🇧 🇩🇪 🇨🇿 🇫🇮

Meteor Burfjordin yllä 2022-12-11 02:26:53 UTC

KML-tiedosto  |  Interaktiivinen kartta

Kartta näyttää meteorin suuntahavainnot. Vaaleammat viivat näyttävät suunnat havaintoasemilta meteorin ilmestyessä, ja tummemmat viivat näyttävät, missä se viimeksi nähtiin. Sininen nuoli näyttää meteorin näkyvän lennon.

static map
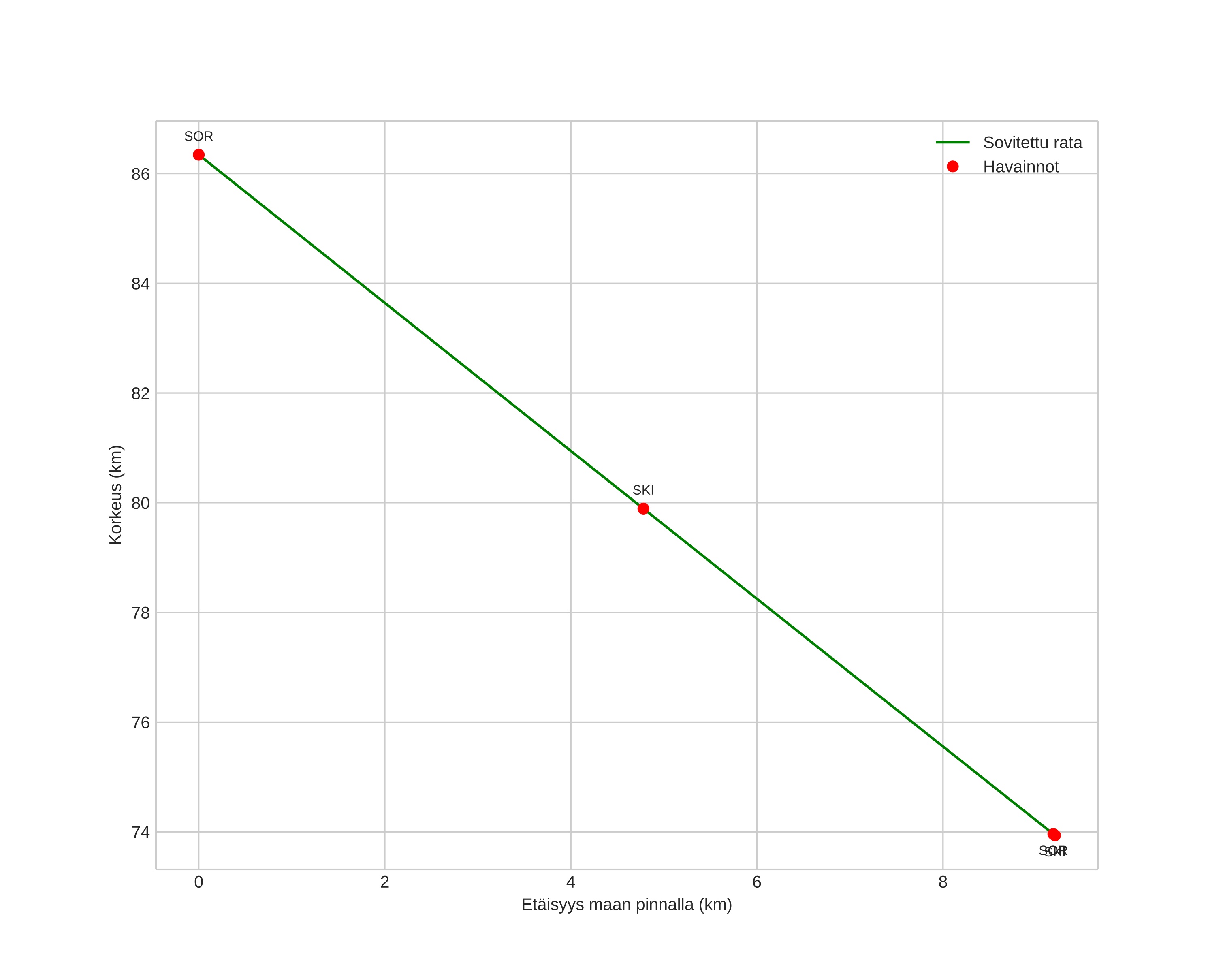
height profile
Meteorin ilmakehärata:
Alkukorkeus: 87,3 km
Loppukorkeus: 74,5 km
Alkupiste: 69,264N 21,591E
Loppupiste: 69,330N 21,709E
Suunta: 32,3°
Kallistuskulma: 55,8°
Tulonopeus: 41,0 km/s
Radiantin R,A,: 07:40 (115,1°)
Radiantin Dekl,: 36,6°
Meteoriparvi: Geminidit
Meteoroidin rataelementit:
Perihelietäisyys: 0,115 AU
Eksentrisyys: 0,930
Inklinaatio: 45,3°
Nousevan solmun pituus: 258,7°
Perihelin argumentti: 326,3°
Keskianomalia: 343,8°
Epookki: 2022 DEC 11 02:26:53
orbit plot

Ei-interaktiivinen kuvaaja | Interaktiivinen kuvaaja

position vs time
speed and acceleration