🇳🇴 🇬🇧 🇩🇪 🇨🇿 🇫🇮

Meteor, poloha: Storsteinnes 2022-12-11 19:22:23 UTC

Soubor KML  |  InteraktivnĂ­ mapa

Mapa zobrazuje dráhy meteoru. Světlejší čáry ukazují směry od pozorovacích stanic při objevení se meteoru a tmavší čáry, kde byl naposledy viděn. Modrá šipka značí viditelnou dráhu meteoru.

static map
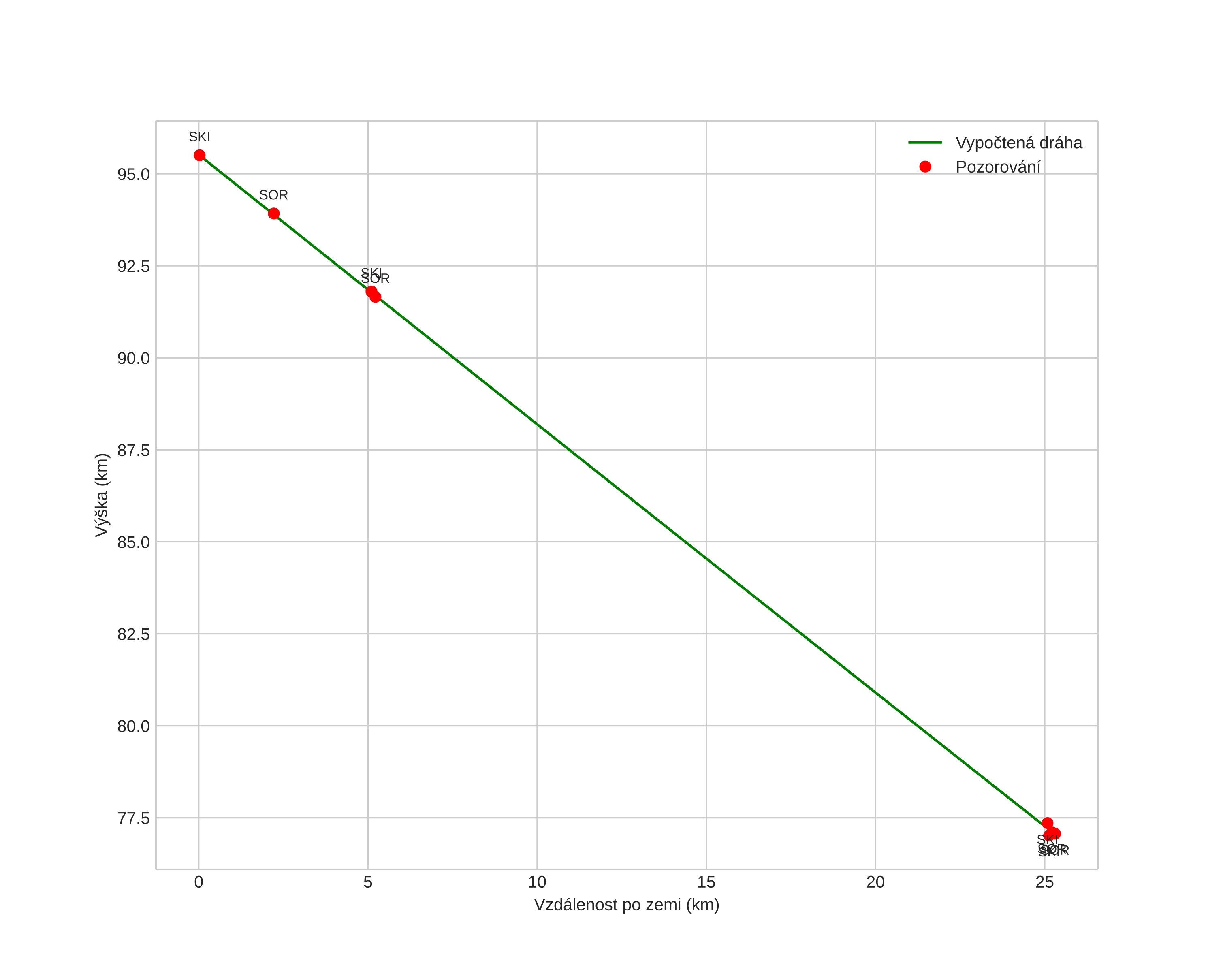
height profile
Atmosférická dráha meteoru:
Počáteční výška: 95,6 km
Konečná výška: 76,8 km
Počáteční poloha: 68,770N 20,068E
Konečná poloha: 68,759N 19,436E
Směr: 267,5°
Sklon: 36,4°
VstupnĂ­ rychlost: 38,7 km/s
Rektascenze radiantu: 07:13 (108,4°)
Deklinace radiantu: 33,5°
MeteorickĂ˝ roj: Geminidy
Elementy dráhy meteoroidu:
Vzdálenost v periheliu: 0,144 AU
Excentricita: 0,923
Sklon dráhy: 26,5°
Délka vzestupného uzlu: 259,4°
Argument perihelia: 321,2°
Střední anomálie: 346,1°
Epocha: 2022 DEC 11 19:22:23
orbit plot

NeinteraktivnĂ­ graf | InteraktivnĂ­ graf

position vs time
speed and acceleration