🇳🇴 🇬🇧 🇩🇪 🇨🇿 🇫🇮

Meteor Storsteinnesin yllä 2022-12-11 19:22:23 UTC

KML-tiedosto  |  Interaktiivinen kartta

Kartta näyttää meteorin suuntahavainnot. Vaaleammat viivat näyttävät suunnat havaintoasemilta meteorin ilmestyessä, ja tummemmat viivat näyttävät, missä se viimeksi nähtiin. Sininen nuoli näyttää meteorin näkyvän lennon.

static map
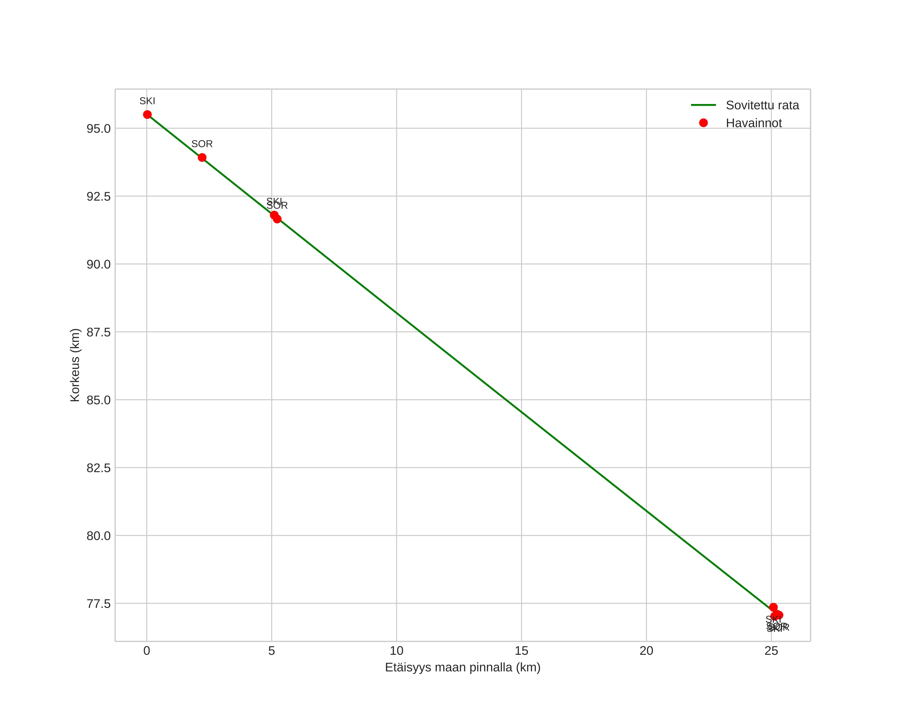
height profile
Meteorin ilmakehärata:
Alkukorkeus: 95,6 km
Loppukorkeus: 76,8 km
Alkupiste: 68,770N 20,068E
Loppupiste: 68,759N 19,436E
Suunta: 267,5°
Kallistuskulma: 36,4°
Tulonopeus: 38,7 km/s
Radiantin R,A,: 07:13 (108,4°)
Radiantin Dekl,: 33,5°
Meteoriparvi: Geminidit
Meteoroidin rataelementit:
Perihelietäisyys: 0,144 AU
Eksentrisyys: 0,923
Inklinaatio: 26,5°
Nousevan solmun pituus: 259,4°
Perihelin argumentti: 321,2°
Keskianomalia: 346,1°
Epookki: 2022 DEC 11 19:22:23
orbit plot

Ei-interaktiivinen kuvaaja | Interaktiivinen kuvaaja

position vs time
speed and acceleration