🇳🇴 🇬🇧 🇩🇪 🇨🇿 🇫🇮

Meteor, poloha: Skjervøy 2022-12-11 20:27:20 UTC

Soubor KML  |  InteraktivnĂ­ mapa

Mapa zobrazuje dráhy meteoru. Světlejší čáry ukazují směry od pozorovacích stanic při objevení se meteoru a tmavší čáry, kde byl naposledy viděn. Modrá šipka značí viditelnou dráhu meteoru.

static map
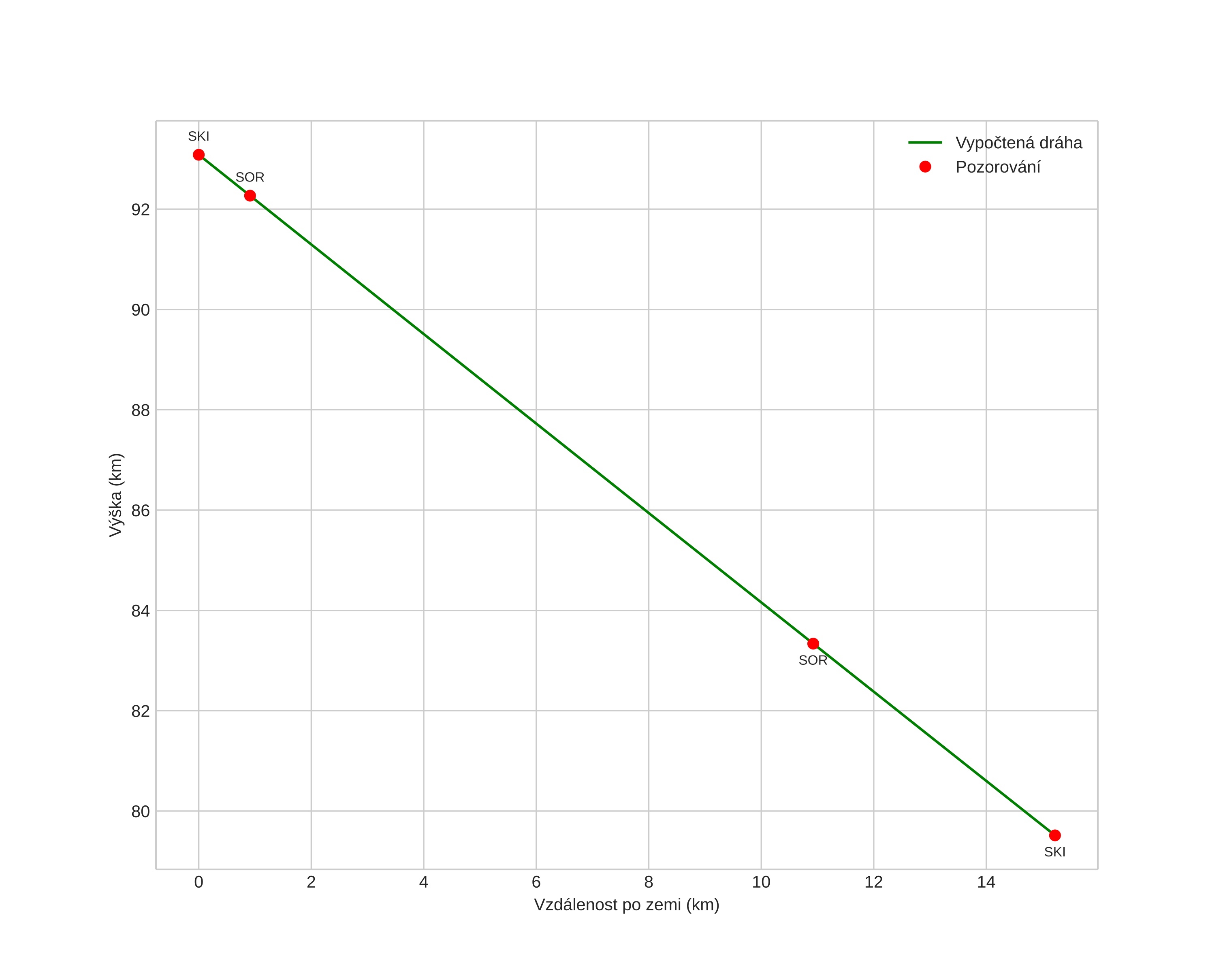
height profile
Atmosférická dráha meteoru:
Počáteční výška: 93,4 km
Konečná výška: 79,8 km
Počáteční poloha: 69,942N 21,759E
Konečná poloha: 69,975N 21,370E
Směr: 284,3°
Sklon: 41,7°
VstupnĂ­ rychlost: 34,0 km/s
Rektascenze radiantu: 07:20 (110,1°)
Deklinace radiantu: 32,9°
MeteorickĂ˝ roj: Geminidy
Elementy dráhy meteoroidu:
Vzdálenost v periheliu: 0,164 AU
Excentricita: 0,865
Sklon dráhy: 20,9°
Délka vzestupného uzlu: 259,4°
Argument perihelia: 322,9°
Střední anomálie: 330,8°
Epocha: 2022 DEC 11 20:27:20
orbit plot

NeinteraktivnĂ­ graf | InteraktivnĂ­ graf

position vs time
speed and acceleration