🇳🇴 🇬🇧 🇩🇪 🇨🇿 🇫🇮

Meteor Skjervøyn yllä 2022-12-11 20:27:20 UTC

KML-tiedosto  |  Interaktiivinen kartta

Kartta näyttää meteorin suuntahavainnot. Vaaleammat viivat näyttävät suunnat havaintoasemilta meteorin ilmestyessä, ja tummemmat viivat näyttävät, missä se viimeksi nähtiin. Sininen nuoli näyttää meteorin näkyvän lennon.

static map
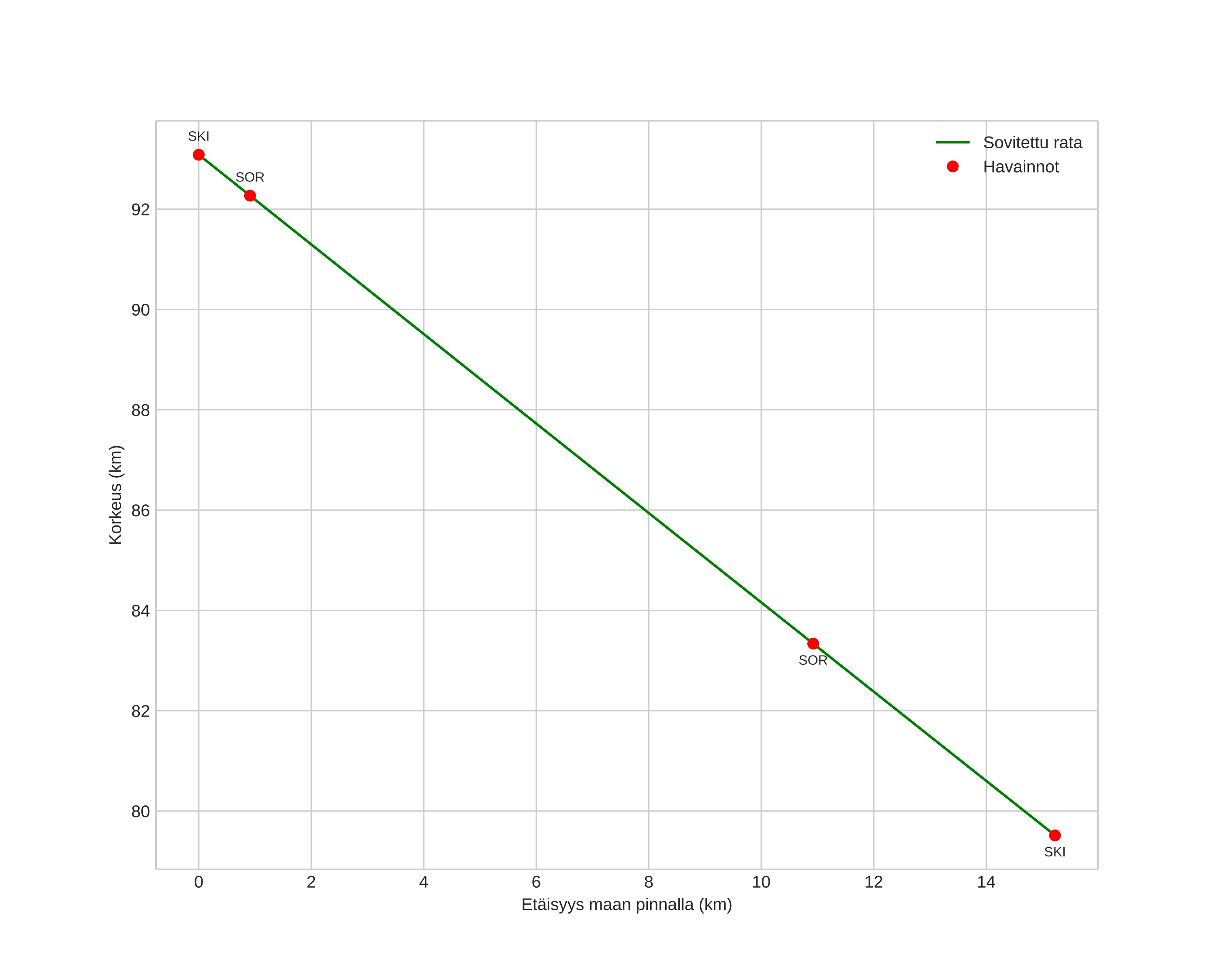
height profile
Meteorin ilmakehärata:
Alkukorkeus: 93,4 km
Loppukorkeus: 79,8 km
Alkupiste: 69,942N 21,759E
Loppupiste: 69,975N 21,370E
Suunta: 284,3°
Kallistuskulma: 41,7°
Tulonopeus: 34,0 km/s
Radiantin R,A,: 07:20 (110,1°)
Radiantin Dekl,: 32,9°
Meteoriparvi: Geminidit
Meteoroidin rataelementit:
Perihelietäisyys: 0,164 AU
Eksentrisyys: 0,865
Inklinaatio: 20,9°
Nousevan solmun pituus: 259,4°
Perihelin argumentti: 322,9°
Keskianomalia: 330,8°
Epookki: 2022 DEC 11 20:27:20
orbit plot

Ei-interaktiivinen kuvaaja | Interaktiivinen kuvaaja

position vs time
speed and acceleration