🇳🇴 🇬🇧 🇩🇪 🇨🇿 🇫🇮

Meteor, poloha: Storsteinnes 2022-12-12 20:50:11 UTC

Soubor KML  |  InteraktivnĂ­ mapa

Mapa zobrazuje dráhy meteoru. Světlejší čáry ukazují směry od pozorovacích stanic při objevení se meteoru a tmavší čáry, kde byl naposledy viděn. Modrá šipka značí viditelnou dráhu meteoru.

static map
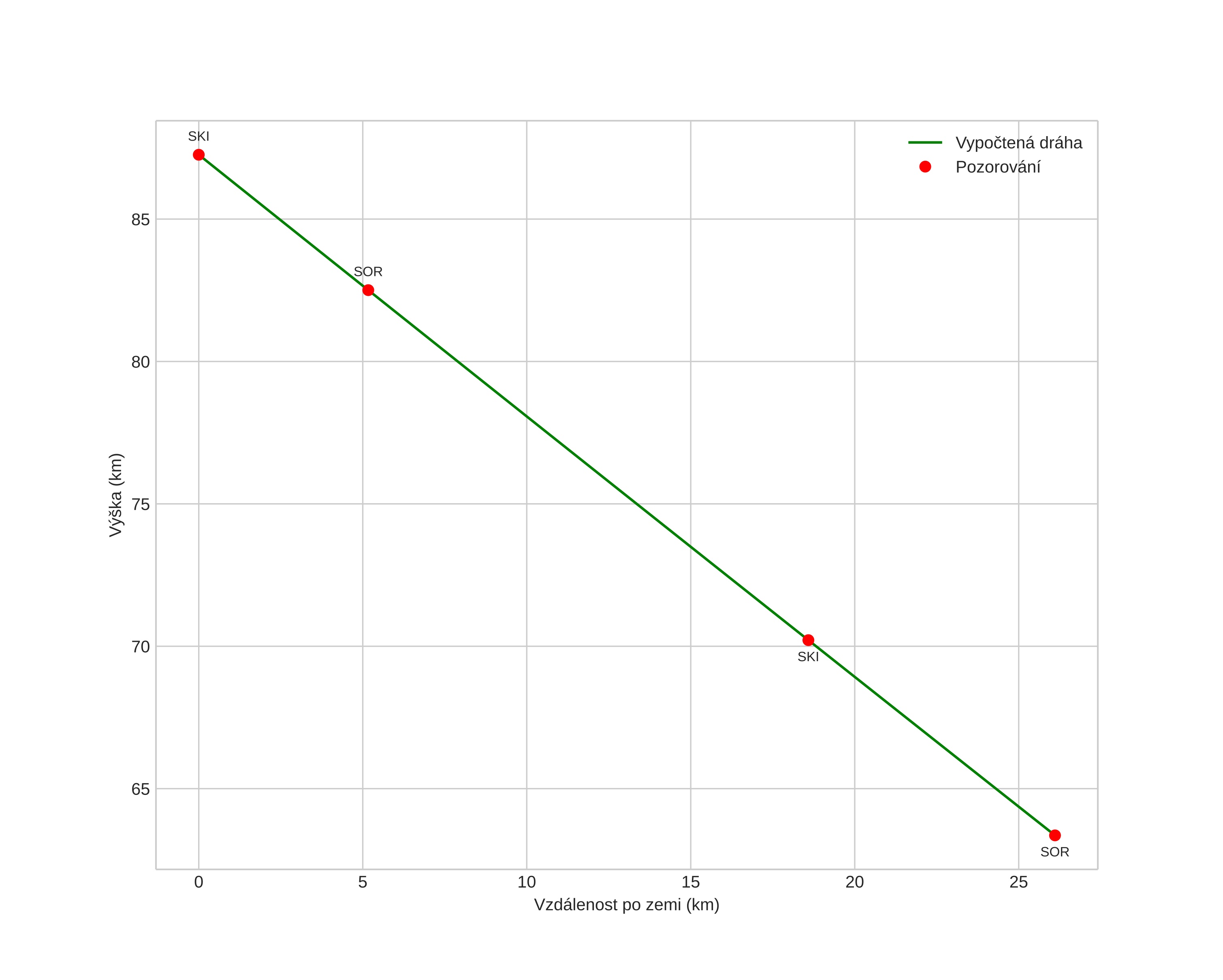
height profile
Atmosférická dráha meteoru:
Počáteční výška: 88,0 km
Konečná výška: 67,0 km
Počáteční poloha: 68,564N 19,938E
Konečná poloha: 68,593N 19,368E
Směr: 278,2°
Sklon: 41,9°
VstupnĂ­ rychlost: 28,4 km/s
Rektascenze radiantu: 07:57 (119,5°)
Deklinace radiantu: 34,0°
MeteorickĂ˝ roj: Geminidy
Elementy dráhy meteoroidu:
Vzdálenost v periheliu: 0,177 AU
Excentricita: 0,787
Sklon dráhy: 20,1°
Délka vzestupného uzlu: 260,5°
Argument perihelia: 329,6°
Střední anomálie: 300,2°
Epocha: 2022 DEC 12 20:50:11
orbit plot

NeinteraktivnĂ­ graf | InteraktivnĂ­ graf

position vs time
speed and acceleration