🇳🇴 🇬🇧 🇩🇪 🇨🇿 🇫🇮

Meteor Storsteinnesin yllä 2022-12-12 20:50:11 UTC

KML-tiedosto  |  Interaktiivinen kartta

Kartta näyttää meteorin suuntahavainnot. Vaaleammat viivat näyttävät suunnat havaintoasemilta meteorin ilmestyessä, ja tummemmat viivat näyttävät, missä se viimeksi nähtiin. Sininen nuoli näyttää meteorin näkyvän lennon.

static map
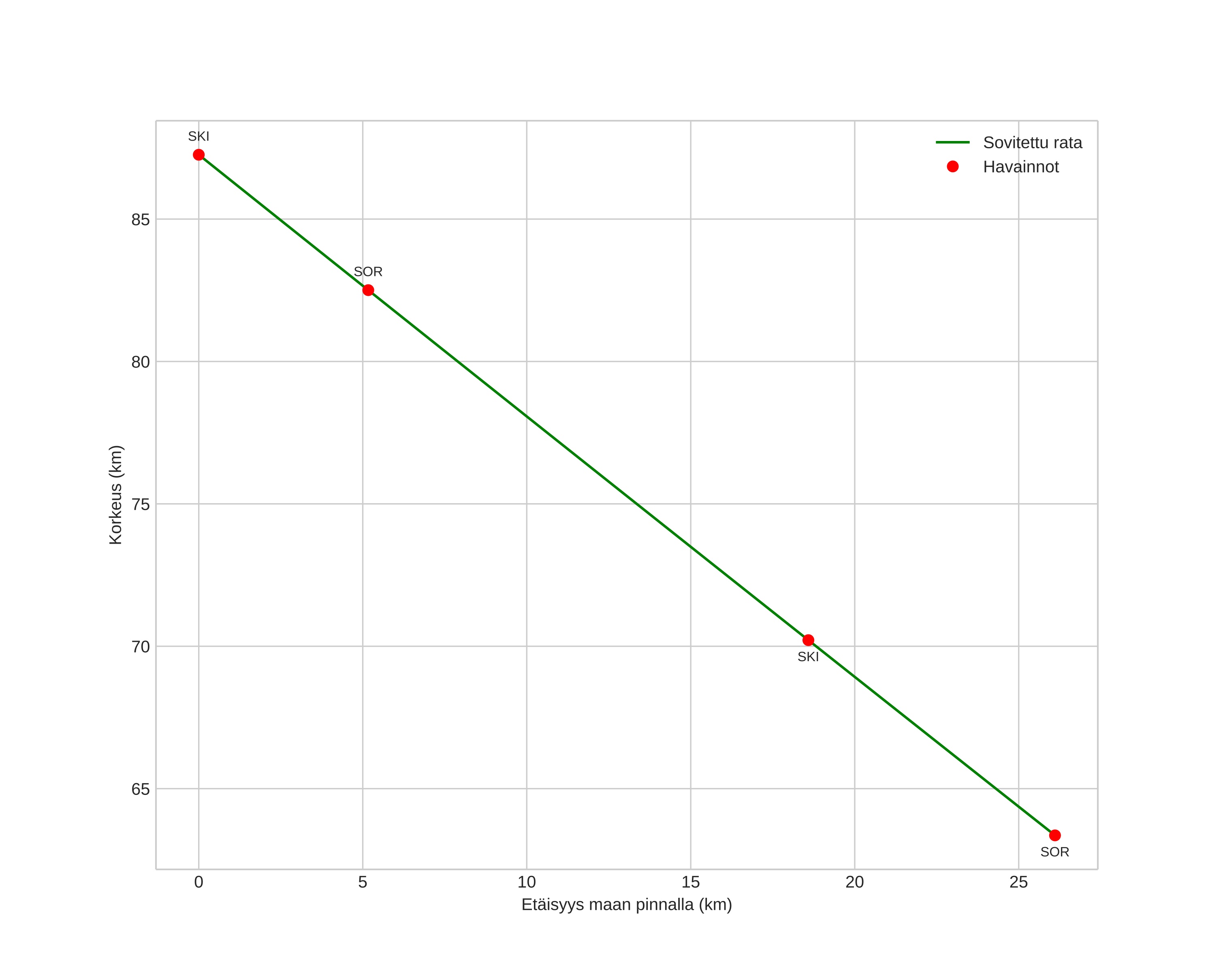
height profile
Meteorin ilmakehärata:
Alkukorkeus: 88,0 km
Loppukorkeus: 67,0 km
Alkupiste: 68,564N 19,938E
Loppupiste: 68,593N 19,368E
Suunta: 278,2°
Kallistuskulma: 41,9°
Tulonopeus: 28,4 km/s
Radiantin R,A,: 07:57 (119,5°)
Radiantin Dekl,: 34,0°
Meteoriparvi: Geminidit
Meteoroidin rataelementit:
Perihelietäisyys: 0,177 AU
Eksentrisyys: 0,787
Inklinaatio: 20,1°
Nousevan solmun pituus: 260,5°
Perihelin argumentti: 329,6°
Keskianomalia: 300,2°
Epookki: 2022 DEC 12 20:50:11
orbit plot

Ei-interaktiivinen kuvaaja | Interaktiivinen kuvaaja

position vs time
speed and acceleration