🇳🇴 🇬🇧 🇩🇪 🇨🇿 🇫🇮

Meteor, poloha: Alta 2022-12-12 22:22:45 UTC

Soubor KML  |  InteraktivnĂ­ mapa

Mapa zobrazuje dráhy meteoru. Světlejší čáry ukazují směry od pozorovacích stanic při objevení se meteoru a tmavší čáry, kde byl naposledy viděn. Modrá šipka značí viditelnou dráhu meteoru.

static map
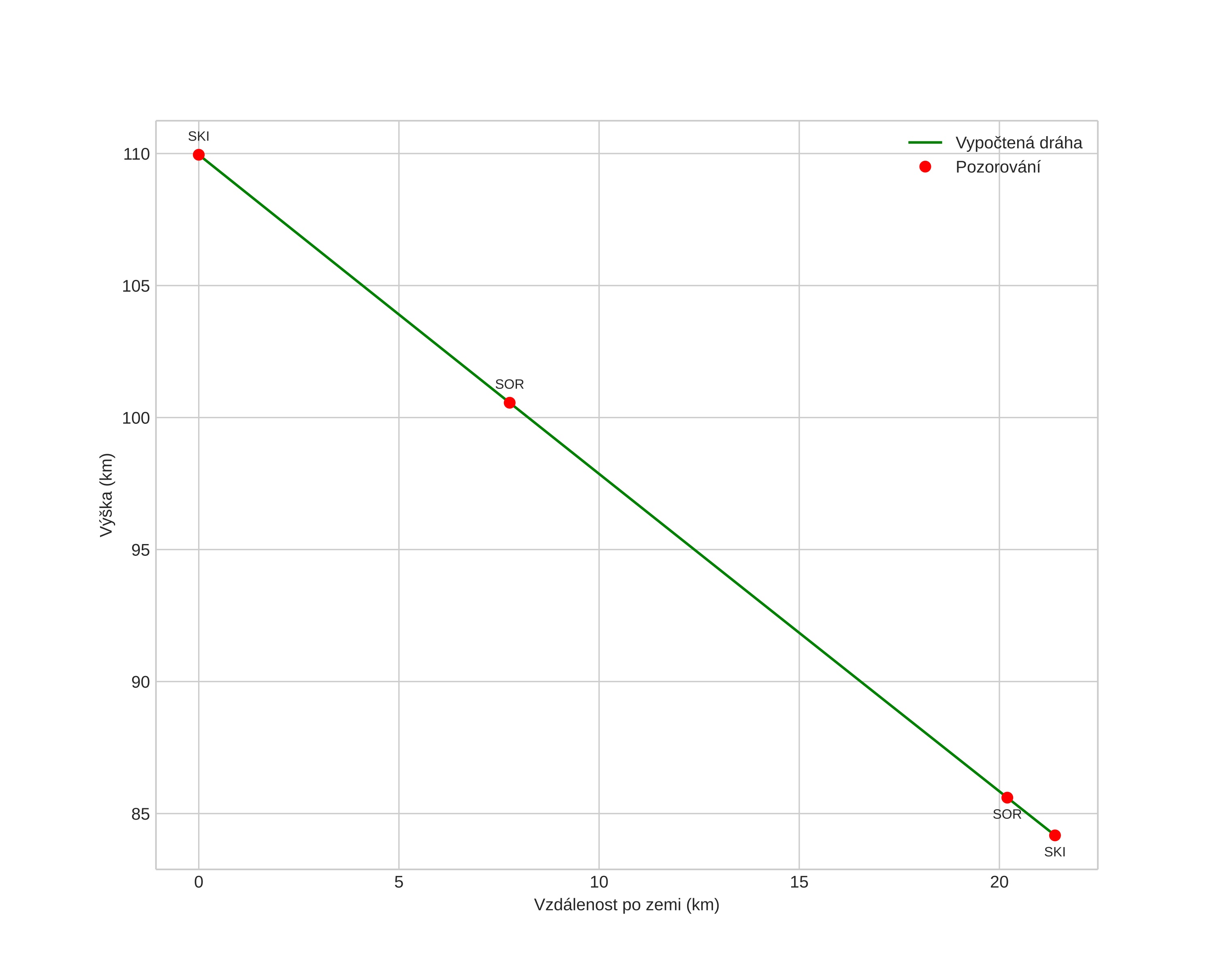
height profile
Atmosférická dráha meteoru:
Počáteční výška: 105,9 km
Konečná výška: 74,1 km
Počáteční poloha: 69,586N 24,165E
Konečná poloha: 69,736N 23,651E
Směr: 310,2°
Sklon: 50,8°
VstupnĂ­ rychlost: 46,3 km/s
Rektascenze radiantu: 07:49 (117,5°)
Deklinace radiantu: 35,2°
MeteorickĂ˝ roj: sporadickĂ˝
Elementy dráhy meteoroidu:
Vzdálenost v periheliu: 0,092 AU
Excentricita: 0,972
Sklon dráhy: 57,0°
Délka vzestupného uzlu: 260,6°
Argument perihelia: 327,2°
Střední anomálie: 354,7°
Epocha: 2022 DEC 12 22:22:45
orbit plot

NeinteraktivnĂ­ graf | InteraktivnĂ­ graf

position vs time
speed and acceleration