🇳🇴 🇬🇧 🇩🇪 🇨🇿 🇫🇮

Meteor Altan yllä 2022-12-12 22:22:45 UTC

KML-tiedosto  |  Interaktiivinen kartta

Kartta näyttää meteorin suuntahavainnot. Vaaleammat viivat näyttävät suunnat havaintoasemilta meteorin ilmestyessä, ja tummemmat viivat näyttävät, missä se viimeksi nähtiin. Sininen nuoli näyttää meteorin näkyvän lennon.

static map
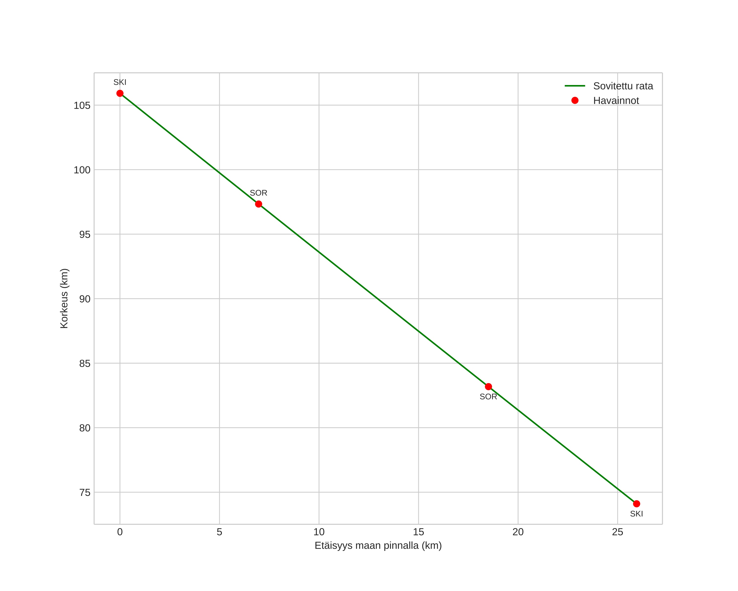
height profile
Meteorin ilmakehärata:
Alkukorkeus: 105,9 km
Loppukorkeus: 74,1 km
Alkupiste: 69,586N 24,165E
Loppupiste: 69,736N 23,651E
Suunta: 310,2°
Kallistuskulma: 50,8°
Tulonopeus: 46,3 km/s
Radiantin R,A,: 07:49 (117,5°)
Radiantin Dekl,: 35,2°
Meteoriparvi: Sporadinen
Meteoroidin rataelementit:
Perihelietäisyys: 0,092 AU
Eksentrisyys: 0,972
Inklinaatio: 57,0°
Nousevan solmun pituus: 260,6°
Perihelin argumentti: 327,2°
Keskianomalia: 354,7°
Epookki: 2022 DEC 12 22:22:45
orbit plot

Ei-interaktiivinen kuvaaja | Interaktiivinen kuvaaja

position vs time
speed and acceleration