🇳🇴 🇬🇧 🇩🇪 🇨🇿 🇫🇮

Meteor, poloha: Ørje 2022-12-12 23:48:05 UTC

Soubor KML  |  Interaktivní mapa

Mapa zobrazuje dráhy meteoru. Světlejší čáry ukazují směry od pozorovacích stanic při objevení se meteoru a tmavší čáry, kde byl naposledy viděn. Modrá šipka značí viditelnou dráhu meteoru.

static map
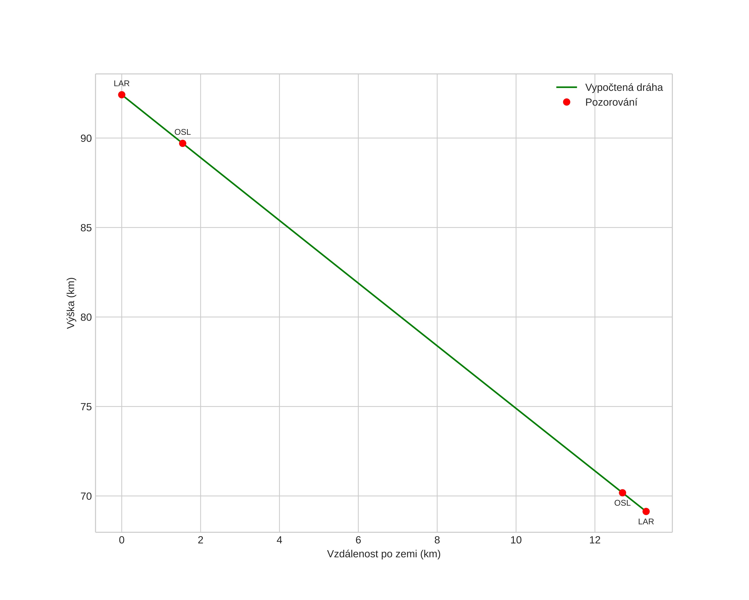
height profile
Atmosférická dráha meteoru:
Počáteční výška: 100,1 km
Konečná výška: 69,2 km
Počáteční poloha: 59,334N 11,783E
Konečná poloha: 59,459N 11,592E
Směr: 322,4°
Sklon: 60,3°
Vstupní rychlost: 35,2 km/s
Rektascenze radiantu: 07:24 (111,1°)
Deklinace radiantu: 32,4°
Meteorický roj: Geminidy
Elementy dráhy meteoroidu:
Vzdálenost v periheliu: 0,154 AU
Excentricita: 0,883
Sklon dráhy: 21,4°
Délka vzestupného uzlu: 260,6°
Argument perihelia: 323,1°
Střední anomálie: 334,9°
Epocha: 2022 DEC 12 23:48:05
orbit plot

Neinteraktivní graf | Interaktivní graf

position vs time
speed and acceleration