🇳🇴 🇬🇧 🇩🇪 🇨🇿 🇫🇮

Meteor Ørjen yllä 2022-12-12 23:48:05 UTC

KML-tiedosto  |  Interaktiivinen kartta

Kartta näyttää meteorin suuntahavainnot. Vaaleammat viivat näyttävät suunnat havaintoasemilta meteorin ilmestyessä, ja tummemmat viivat näyttävät, missä se viimeksi nähtiin. Sininen nuoli näyttää meteorin näkyvän lennon.

static map
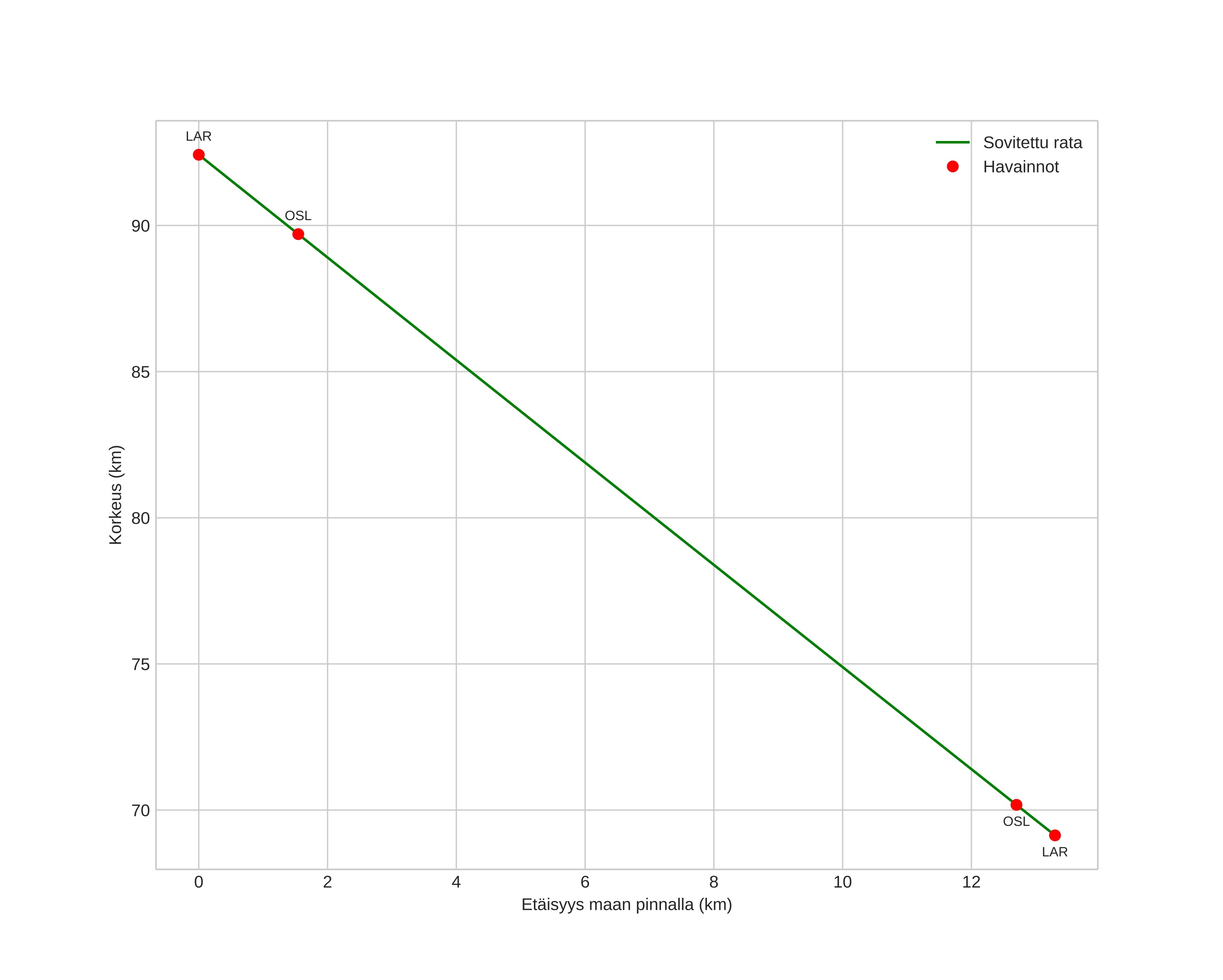
height profile
Meteorin ilmakehärata:
Alkukorkeus: 100,1 km
Loppukorkeus: 69,2 km
Alkupiste: 59,334N 11,783E
Loppupiste: 59,459N 11,592E
Suunta: 322,4°
Kallistuskulma: 60,3°
Tulonopeus: 35,2 km/s
Radiantin R,A,: 07:24 (111,1°)
Radiantin Dekl,: 32,4°
Meteoriparvi: Geminidit
Meteoroidin rataelementit:
Perihelietäisyys: 0,154 AU
Eksentrisyys: 0,883
Inklinaatio: 21,4°
Nousevan solmun pituus: 260,6°
Perihelin argumentti: 323,1°
Keskianomalia: 334,9°
Epookki: 2022 DEC 12 23:48:05
orbit plot

Ei-interaktiivinen kuvaaja | Interaktiivinen kuvaaja

position vs time
speed and acceleration