🇳🇴 🇬🇧 🇩🇪 🇨🇿 🇫🇮

Meteor, poloha: Ávanuorri 2022-12-12 23:59:36 UTC

Soubor KML  |  Interaktivní mapa

Mapa zobrazuje dráhy meteoru. Světlejší čáry ukazují směry od pozorovacích stanic při objevení se meteoru a tmavší čáry, kde byl naposledy viděn. Modrá šipka značí viditelnou dráhu meteoru.

static map
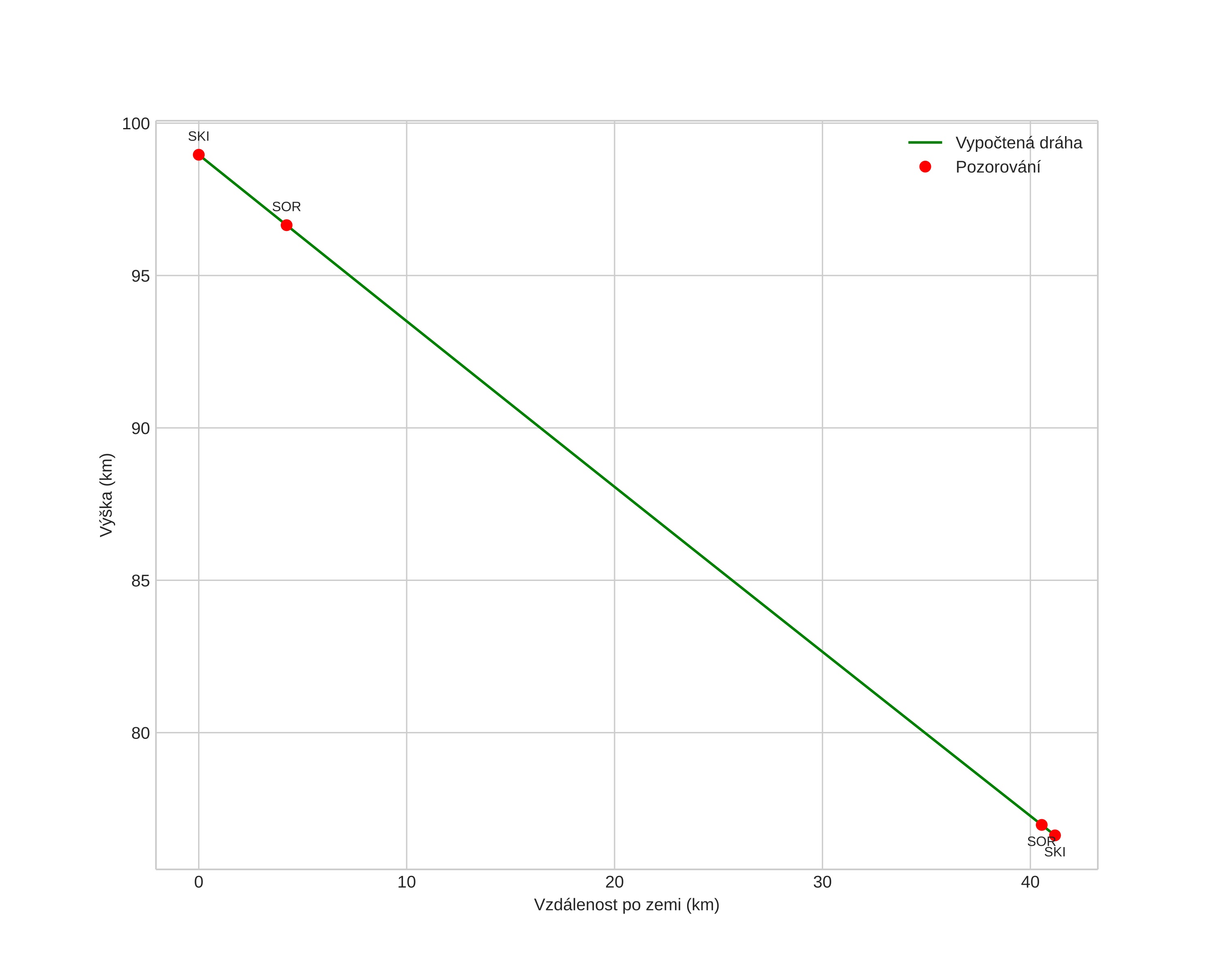
height profile
Atmosférická dráha meteoru:
Počáteční výška: 99,7 km
Konečná výška: 75,5 km
Počáteční poloha: 70,654N 24,175E
Konečná poloha: 70,969N 24,387E
Směr: 12,3°
Sklon: 34,0°
Vstupní rychlost: 42,7 km/s
Rektascenze radiantu: 06:17 (94,5°)
Deklinace radiantu: 13,9°
Meteorický roj: Monocerotidy
Elementy dráhy meteoroidu:
Vzdálenost v periheliu: 0,247 AU
Excentricita: 1,068
Sklon dráhy: 18,3°
Délka vzestupného uzlu: 80,6°
Argument perihelia: 116,8°
Střední anomálie: -4,7°
Epocha: 2022 DEC 12 23:59:36
orbit plot

Neinteraktivní graf | Interaktivní graf

position vs time
speed and acceleration