🇳🇴 🇬🇧 🇩🇪 🇨🇿 🇫🇮

Meteor Ávanuorrin yllä 2022-12-12 23:59:36 UTC

KML-tiedosto  |  Interaktiivinen kartta

Kartta näyttää meteorin suuntahavainnot. Vaaleammat viivat näyttävät suunnat havaintoasemilta meteorin ilmestyessä, ja tummemmat viivat näyttävät, missä se viimeksi nähtiin. Sininen nuoli näyttää meteorin näkyvän lennon.

static map
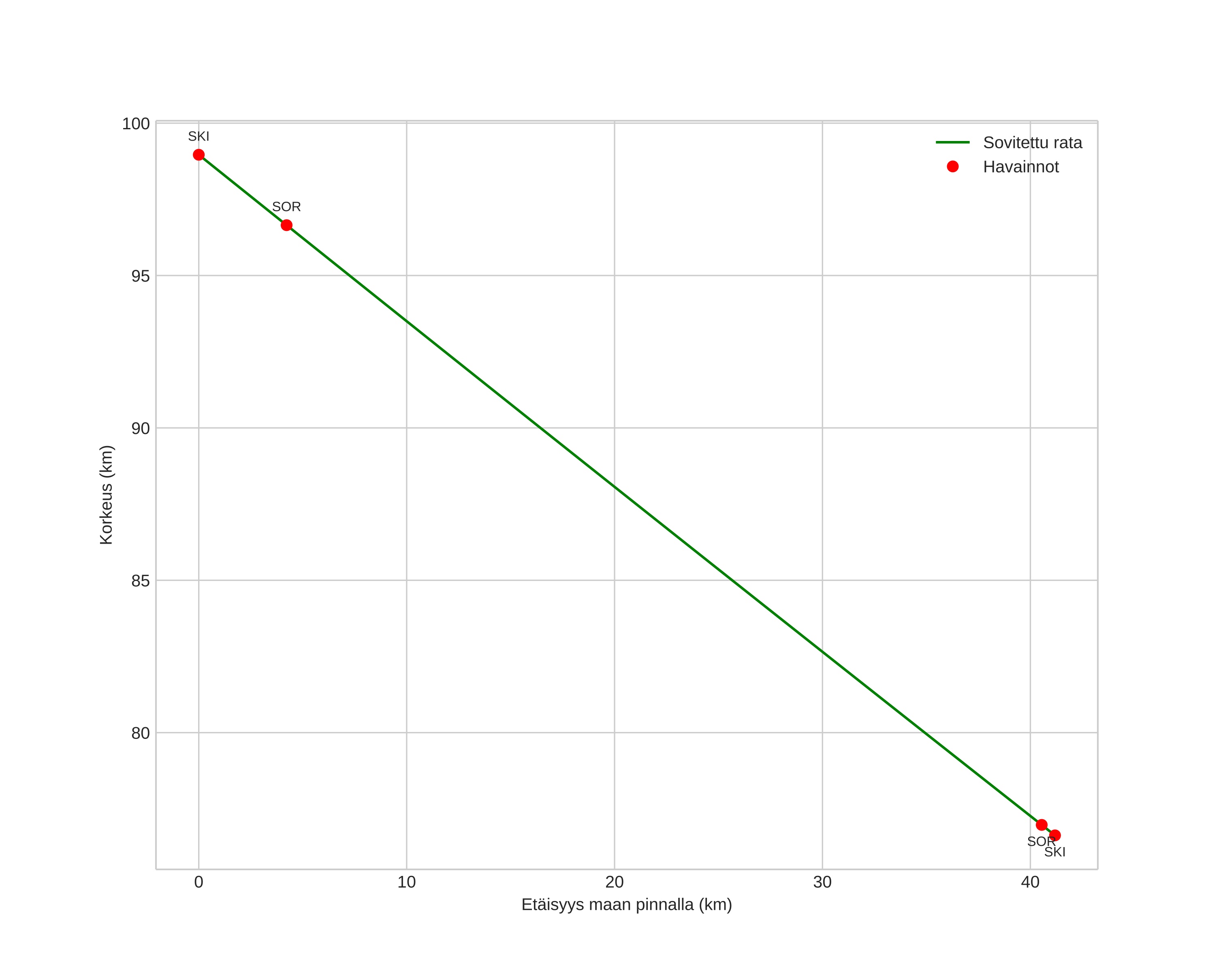
height profile
Meteorin ilmakehärata:
Alkukorkeus: 99,7 km
Loppukorkeus: 75,5 km
Alkupiste: 70,654N 24,175E
Loppupiste: 70,969N 24,387E
Suunta: 12,3°
Kallistuskulma: 34,0°
Tulonopeus: 42,7 km/s
Radiantin R,A,: 06:17 (94,5°)
Radiantin Dekl,: 13,9°
Meteoriparvi: Monoserotidit
Meteoroidin rataelementit:
Perihelietäisyys: 0,247 AU
Eksentrisyys: 1,068
Inklinaatio: 18,3°
Nousevan solmun pituus: 80,6°
Perihelin argumentti: 116,8°
Keskianomalia: -4,7°
Epookki: 2022 DEC 12 23:59:36
orbit plot

Ei-interaktiivinen kuvaaja | Interaktiivinen kuvaaja

position vs time
speed and acceleration