🇳🇴 🇬🇧 🇩🇪 🇨🇿 🇫🇮

Meteor, poloha: Stavern 2022-12-13 00:57:00 UTC

Soubor KML  |  InteraktivnĂ­ mapa

Mapa zobrazuje dráhy meteoru. Světlejší čáry ukazují směry od pozorovacích stanic při objevení se meteoru a tmavší čáry, kde byl naposledy viděn. Modrá šipka značí viditelnou dráhu meteoru.

static map
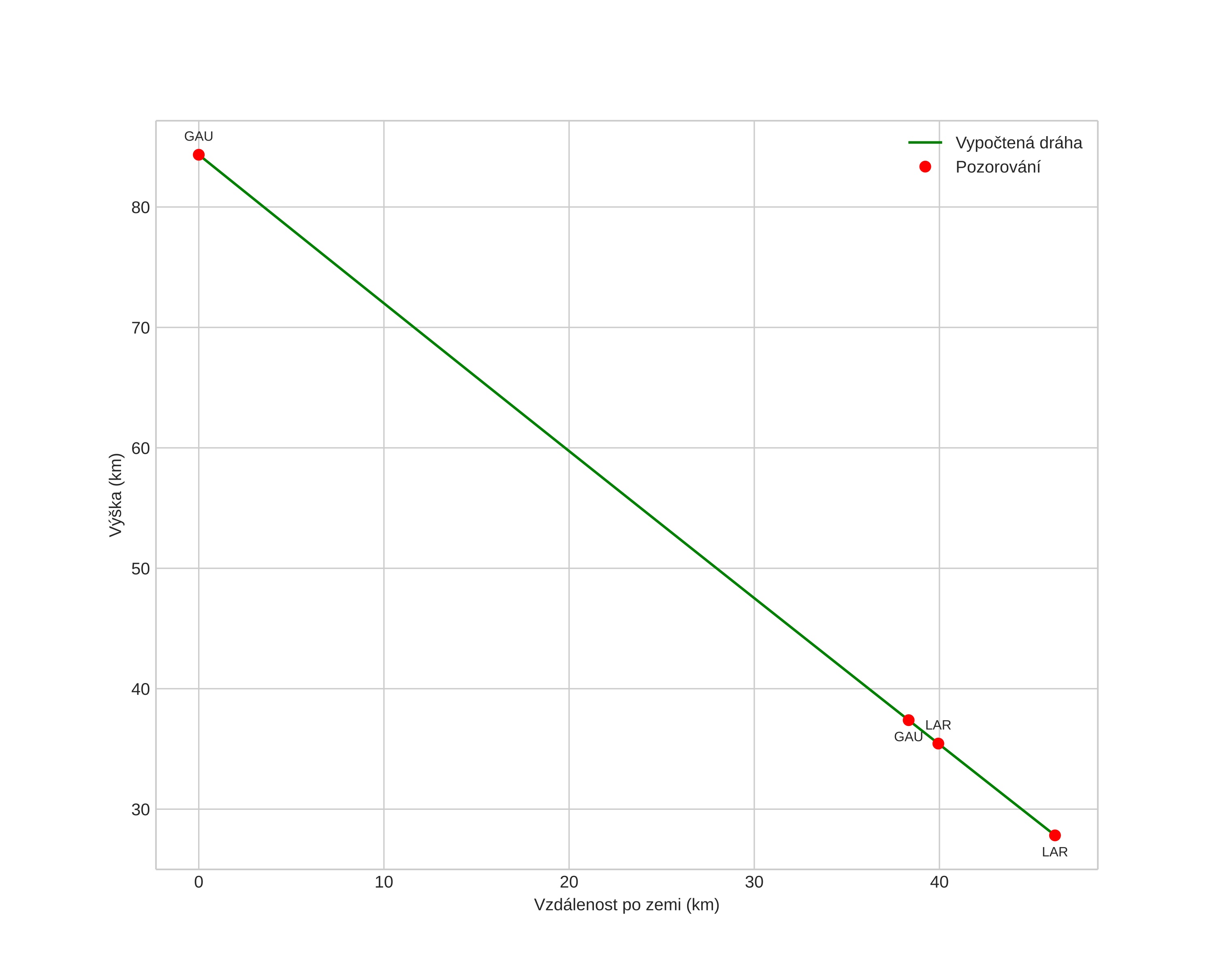
height profile
Atmosférická dráha meteoru:
Počáteční výška: 82,1 km
Konečná výška: 33,2 km
Počáteční poloha: 58,493N 9,807E
Konečná poloha: 58,801N 10,198E
Směr: 33,3°
Sklon: 50,0°
VstupnĂ­ rychlost: 22,0 km/s
Rektascenze radiantu: 05:25 (81,4°)
Deklinace radiantu: 18,7°
MeteorickĂ˝ roj: sporadickĂ˝
Elementy dráhy meteoroidu:
Vzdálenost v periheliu: 0,596 AU
Excentricita: 0,638
Sklon dráhy: 2,9°
Délka vzestupného uzlu: 80,7°
Argument perihelia: 90,7°
Střední anomálie: 337,5°
Epocha: 2022 DEC 13 00:57:00
orbit plot

NeinteraktivnĂ­ graf | InteraktivnĂ­ graf

position vs time
speed and acceleration