🇳🇴 🇬🇧 🇩🇪 🇨🇿 🇫🇮

Meteor Stavernin yllä 2022-12-13 00:57:00 UTC

KML-tiedosto  |  Interaktiivinen kartta

Kartta näyttää meteorin suuntahavainnot. Vaaleammat viivat näyttävät suunnat havaintoasemilta meteorin ilmestyessä, ja tummemmat viivat näyttävät, missä se viimeksi nähtiin. Sininen nuoli näyttää meteorin näkyvän lennon.

static map
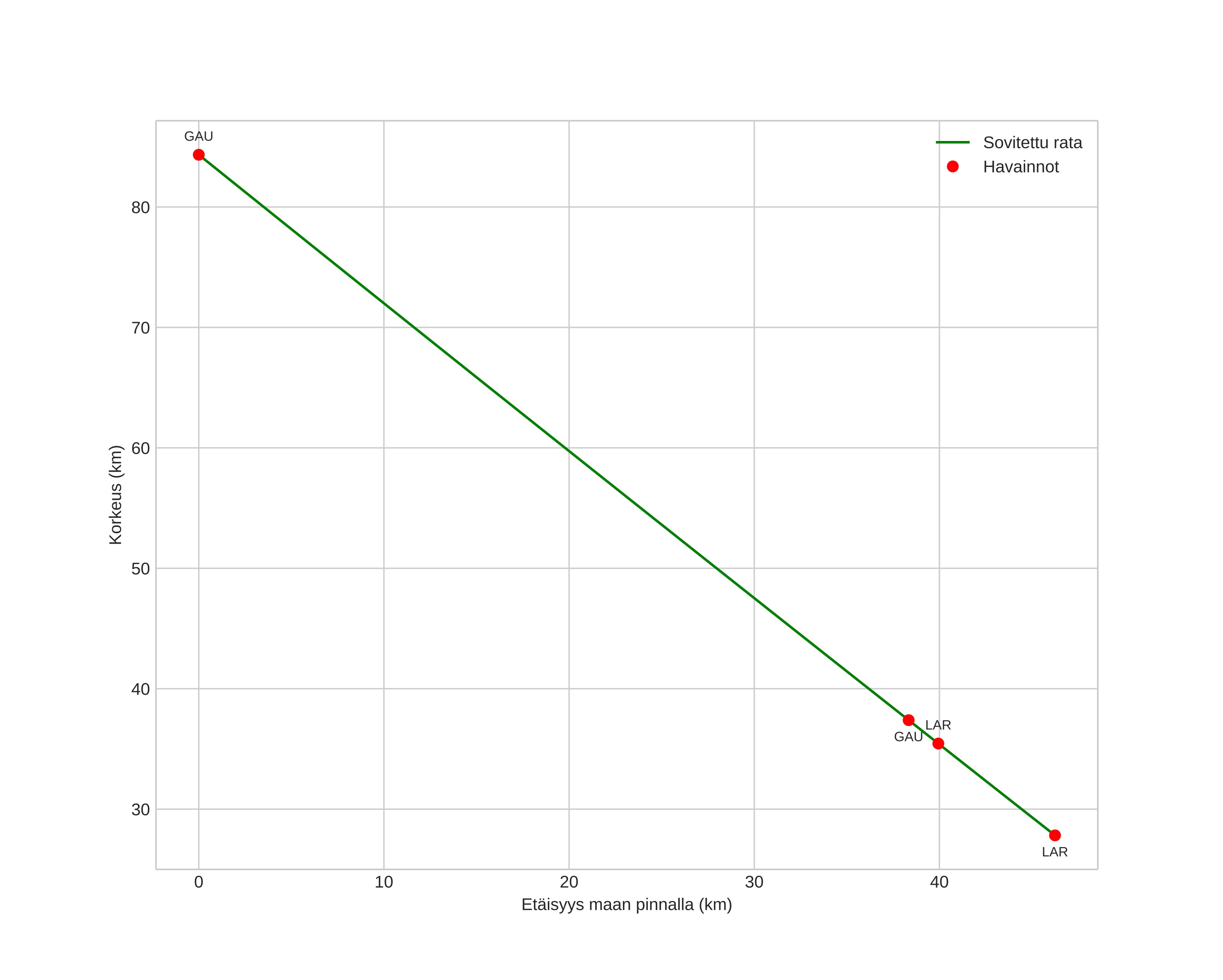
height profile
Meteorin ilmakehärata:
Alkukorkeus: 82,1 km
Loppukorkeus: 33,2 km
Alkupiste: 58,493N 9,807E
Loppupiste: 58,801N 10,198E
Suunta: 33,3°
Kallistuskulma: 50,0°
Tulonopeus: 22,0 km/s
Radiantin R,A,: 05:25 (81,4°)
Radiantin Dekl,: 18,7°
Meteoriparvi: Sporadinen
Meteoroidin rataelementit:
Perihelietäisyys: 0,596 AU
Eksentrisyys: 0,638
Inklinaatio: 2,9°
Nousevan solmun pituus: 80,7°
Perihelin argumentti: 90,7°
Keskianomalia: 337,5°
Epookki: 2022 DEC 13 00:57:00
orbit plot

Ei-interaktiivinen kuvaaja | Interaktiivinen kuvaaja

position vs time
speed and acceleration