🇳🇴 🇬🇧 🇩🇪 🇨🇿 🇫🇮

Meteor, poloha: Vestbygd 2022-12-13 03:03:57 UTC

Soubor KML  |  InteraktivnĂ­ mapa

Mapa zobrazuje dráhy meteoru. Světlejší čáry ukazují směry od pozorovacích stanic při objevení se meteoru a tmavší čáry, kde byl naposledy viděn. Modrá šipka značí viditelnou dráhu meteoru.

static map
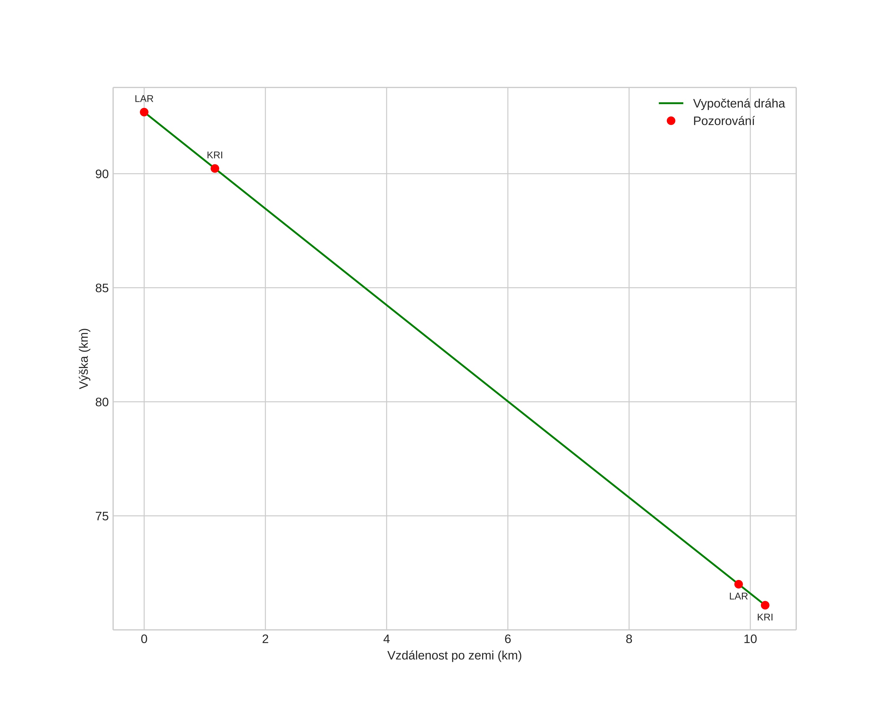
height profile
Atmosférická dráha meteoru:
Počáteční výška: 94,0 km
Konečná výška: 71,6 km
Počáteční poloha: 57,622N 6,394E
Konečná poloha: 57,705N 6,521E
Směr: 39,4°
Sklon: 62,1°
VstupnĂ­ rychlost: 35,2 km/s
Rektascenze radiantu: 07:28 (112,1°)
Deklinace radiantu: 32,7°
MeteorickĂ˝ roj: Geminidy
Elementy dráhy meteoroidu:
Vzdálenost v periheliu: 0,149 AU
Excentricita: 0,884
Sklon dráhy: 22,7°
Délka vzestupného uzlu: 260,7°
Argument perihelia: 324,0°
Střední anomálie: 334,1°
Epocha: 2022 DEC 13 03:03:57
orbit plot

NeinteraktivnĂ­ graf | InteraktivnĂ­ graf

position vs time
speed and acceleration