🇳🇴 🇬🇧 🇩🇪 🇨🇿 🇫🇮

Meteor Vestbygdin yllä 2022-12-13 03:03:57 UTC

KML-tiedosto  |  Interaktiivinen kartta

Kartta näyttää meteorin suuntahavainnot. Vaaleammat viivat näyttävät suunnat havaintoasemilta meteorin ilmestyessä, ja tummemmat viivat näyttävät, missä se viimeksi nähtiin. Sininen nuoli näyttää meteorin näkyvän lennon.

static map
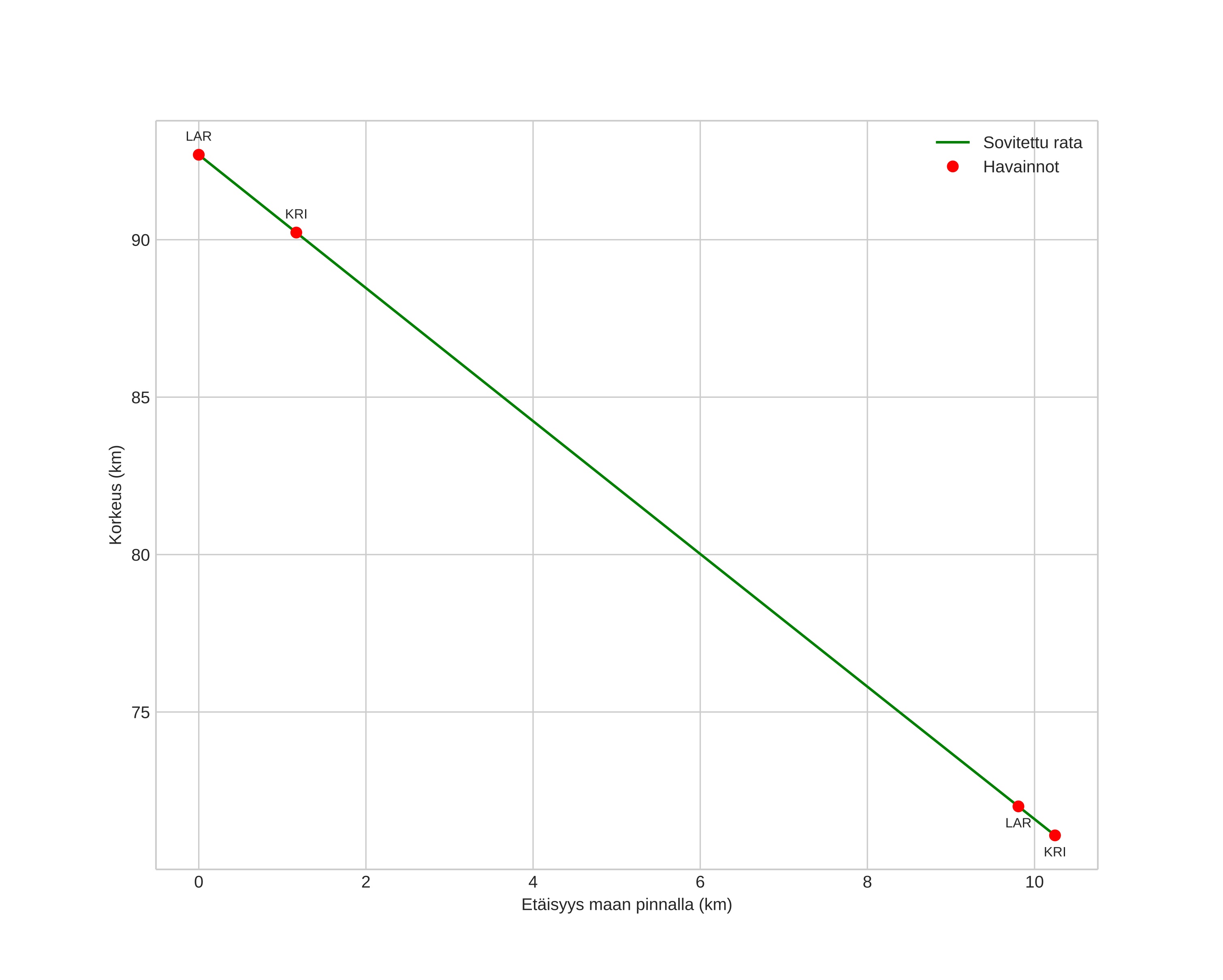
height profile
Meteorin ilmakehärata:
Alkukorkeus: 94,0 km
Loppukorkeus: 71,6 km
Alkupiste: 57,622N 6,394E
Loppupiste: 57,705N 6,521E
Suunta: 39,4°
Kallistuskulma: 62,1°
Tulonopeus: 35,2 km/s
Radiantin R,A,: 07:28 (112,1°)
Radiantin Dekl,: 32,7°
Meteoriparvi: Geminidit
Meteoroidin rataelementit:
Perihelietäisyys: 0,149 AU
Eksentrisyys: 0,884
Inklinaatio: 22,7°
Nousevan solmun pituus: 260,7°
Perihelin argumentti: 324,0°
Keskianomalia: 334,1°
Epookki: 2022 DEC 13 03:03:57
orbit plot

Ei-interaktiivinen kuvaaja | Interaktiivinen kuvaaja

position vs time
speed and acceleration