🇳🇴 🇬🇧 🇩🇪 🇨🇿 🇫🇮

Meteor, poloha: Hvittingfoss 2022-12-13 03:17:31 UTC

Soubor KML  |  InteraktivnĂ­ mapa

Mapa zobrazuje dráhy meteoru. Světlejší čáry ukazují směry od pozorovacích stanic při objevení se meteoru a tmavší čáry, kde byl naposledy viděn. Modrá šipka značí viditelnou dráhu meteoru.

static map
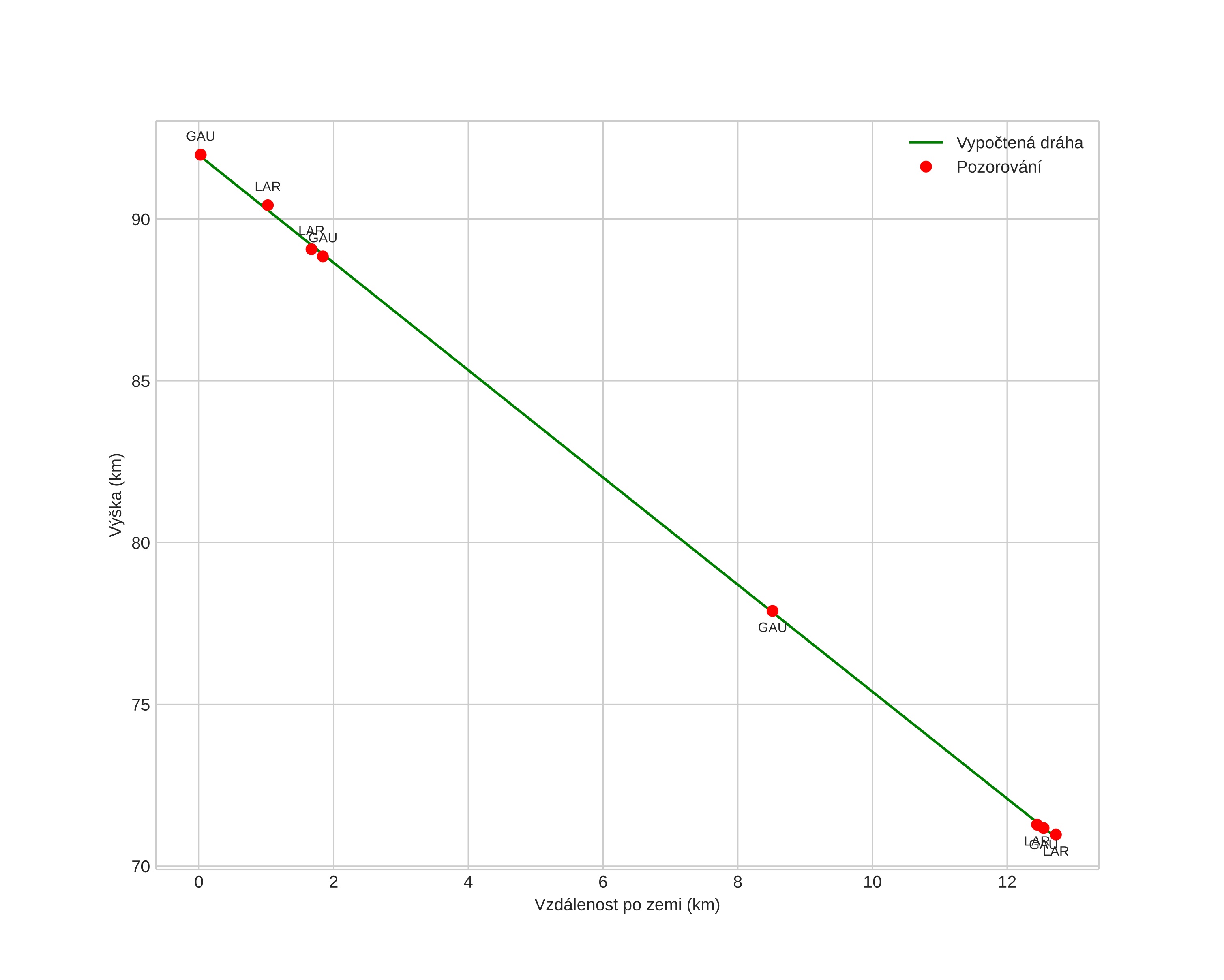
height profile
Atmosférická dráha meteoru:
Počáteční výška: 91,9 km
Konečná výška: 71,0 km
Počáteční poloha: 59,355N 9,964E
Konečná poloha: 59,432N 10,125E
Směr: 46,8°
Sklon: 59,1°
VstupnĂ­ rychlost: 35,8 km/s
Rektascenze radiantu: 07:32 (113,1°)
Deklinace radiantu: 33,1°
MeteorickĂ˝ roj: Geminidy
Elementy dráhy meteoroidu:
Vzdálenost v periheliu: 0,140 AU
Excentricita: 0,891
Sklon dráhy: 25,2°
Délka vzestupného uzlu: 260,8°
Argument perihelia: 325,1°
Střední anomálie: 334,7°
Epocha: 2022 DEC 13 03:17:31
orbit plot

NeinteraktivnĂ­ graf | InteraktivnĂ­ graf

position vs time
speed and acceleration