🇳🇴 🇬🇧 🇩🇪 🇨🇿 🇫🇮

Meteor Hvittingfossin yllä 2022-12-13 03:17:31 UTC

KML-tiedosto  |  Interaktiivinen kartta

Kartta näyttää meteorin suuntahavainnot. Vaaleammat viivat näyttävät suunnat havaintoasemilta meteorin ilmestyessä, ja tummemmat viivat näyttävät, missä se viimeksi nähtiin. Sininen nuoli näyttää meteorin näkyvän lennon.

static map
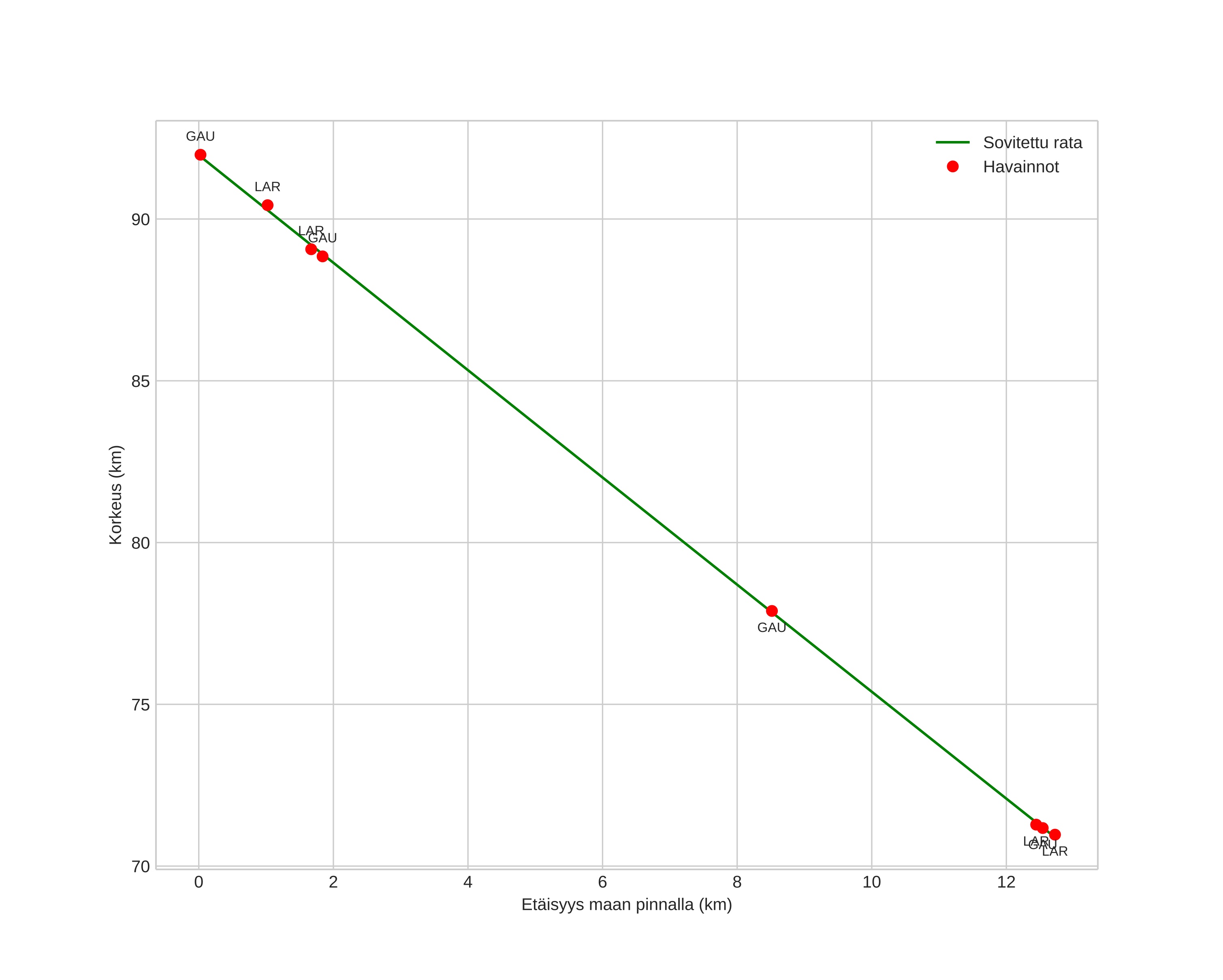
height profile
Meteorin ilmakehärata:
Alkukorkeus: 91,9 km
Loppukorkeus: 71,0 km
Alkupiste: 59,355N 9,964E
Loppupiste: 59,432N 10,125E
Suunta: 46,8°
Kallistuskulma: 59,1°
Tulonopeus: 35,8 km/s
Radiantin R,A,: 07:32 (113,1°)
Radiantin Dekl,: 33,1°
Meteoriparvi: Geminidit
Meteoroidin rataelementit:
Perihelietäisyys: 0,140 AU
Eksentrisyys: 0,891
Inklinaatio: 25,2°
Nousevan solmun pituus: 260,8°
Perihelin argumentti: 325,1°
Keskianomalia: 334,7°
Epookki: 2022 DEC 13 03:17:31
orbit plot

Ei-interaktiivinen kuvaaja | Interaktiivinen kuvaaja

position vs time
speed and acceleration