🇳🇴 🇬🇧 🇩🇪 🇨🇿 🇫🇮

Meteor, poloha: Innbygda 2022-12-13 03:40:15 UTC

Soubor KML  |  InteraktivnĂ­ mapa

Mapa zobrazuje dráhy meteoru. Světlejší čáry ukazují směry od pozorovacích stanic při objevení se meteoru a tmavší čáry, kde byl naposledy viděn. Modrá šipka značí viditelnou dráhu meteoru.

static map
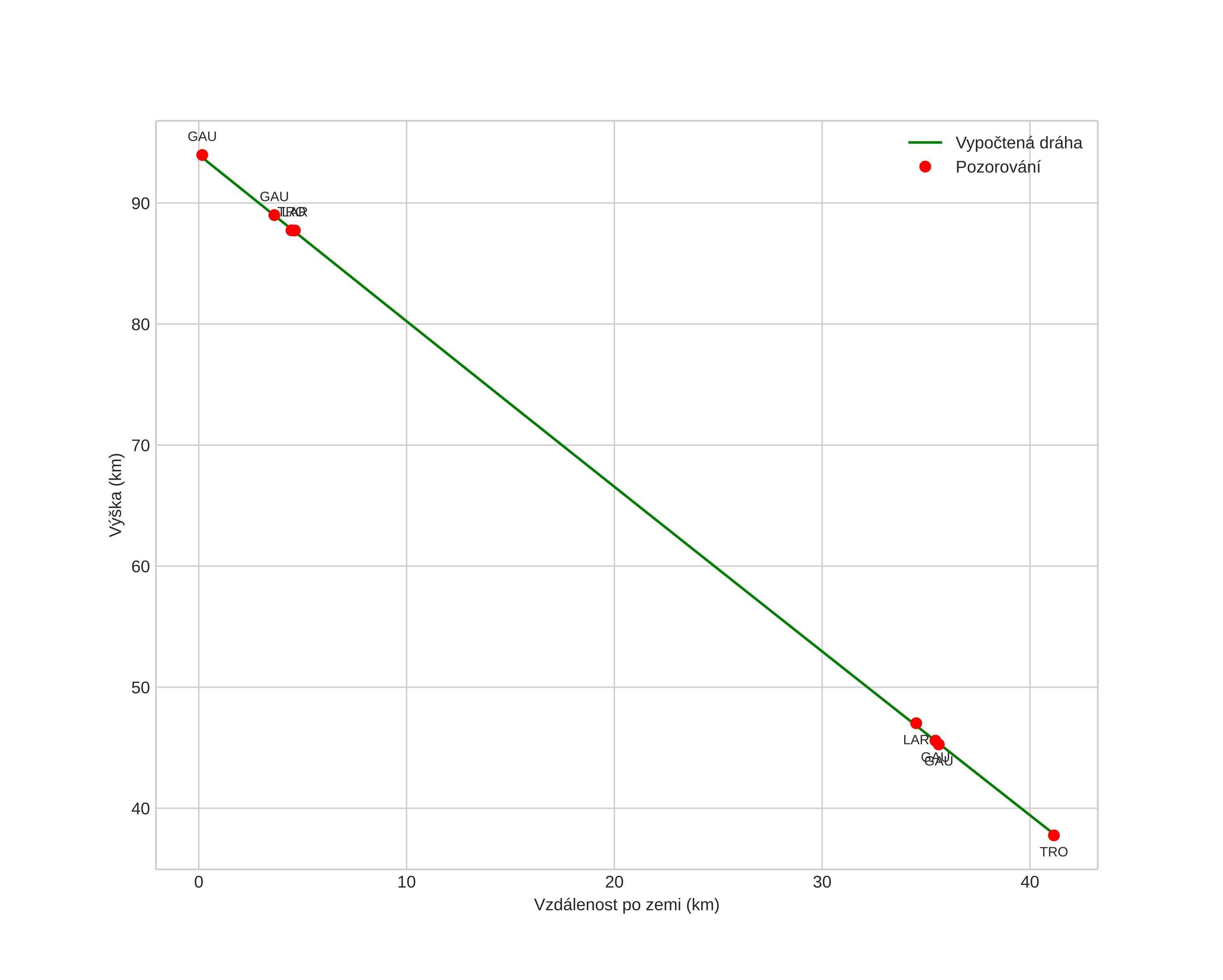
height profile
Atmosférická dráha meteoru:
Počáteční výška: 93,2 km
Konečná výška: 37,7 km
Počáteční poloha: 61,796N 12,251E
Konečná poloha: 62,003N 12,873E
Směr: 54,5°
Sklon: 54,3°
VstupnĂ­ rychlost: 34,9 km/s
Rektascenze radiantu: 07:32 (113,0°)
Deklinace radiantu: 32,7°
MeteorickĂ˝ roj: Geminidy
Elementy dráhy meteoroidu:
Vzdálenost v periheliu: 0,145 AU
Excentricita: 0,882
Sklon dráhy: 23,2°
Délka vzestupného uzlu: 260,8°
Argument perihelia: 325,1°
Střední anomálie: 332,1°
Epocha: 2022 DEC 13 03:40:15
orbit plot

NeinteraktivnĂ­ graf | InteraktivnĂ­ graf

position vs time
speed and acceleration