🇳🇴 🇬🇧 🇩🇪 🇨🇿 🇫🇮

Meteor Innbygdan yllä 2022-12-13 03:40:15 UTC

KML-tiedosto  |  Interaktiivinen kartta

Kartta näyttää meteorin suuntahavainnot. Vaaleammat viivat näyttävät suunnat havaintoasemilta meteorin ilmestyessä, ja tummemmat viivat näyttävät, missä se viimeksi nähtiin. Sininen nuoli näyttää meteorin näkyvän lennon.

static map
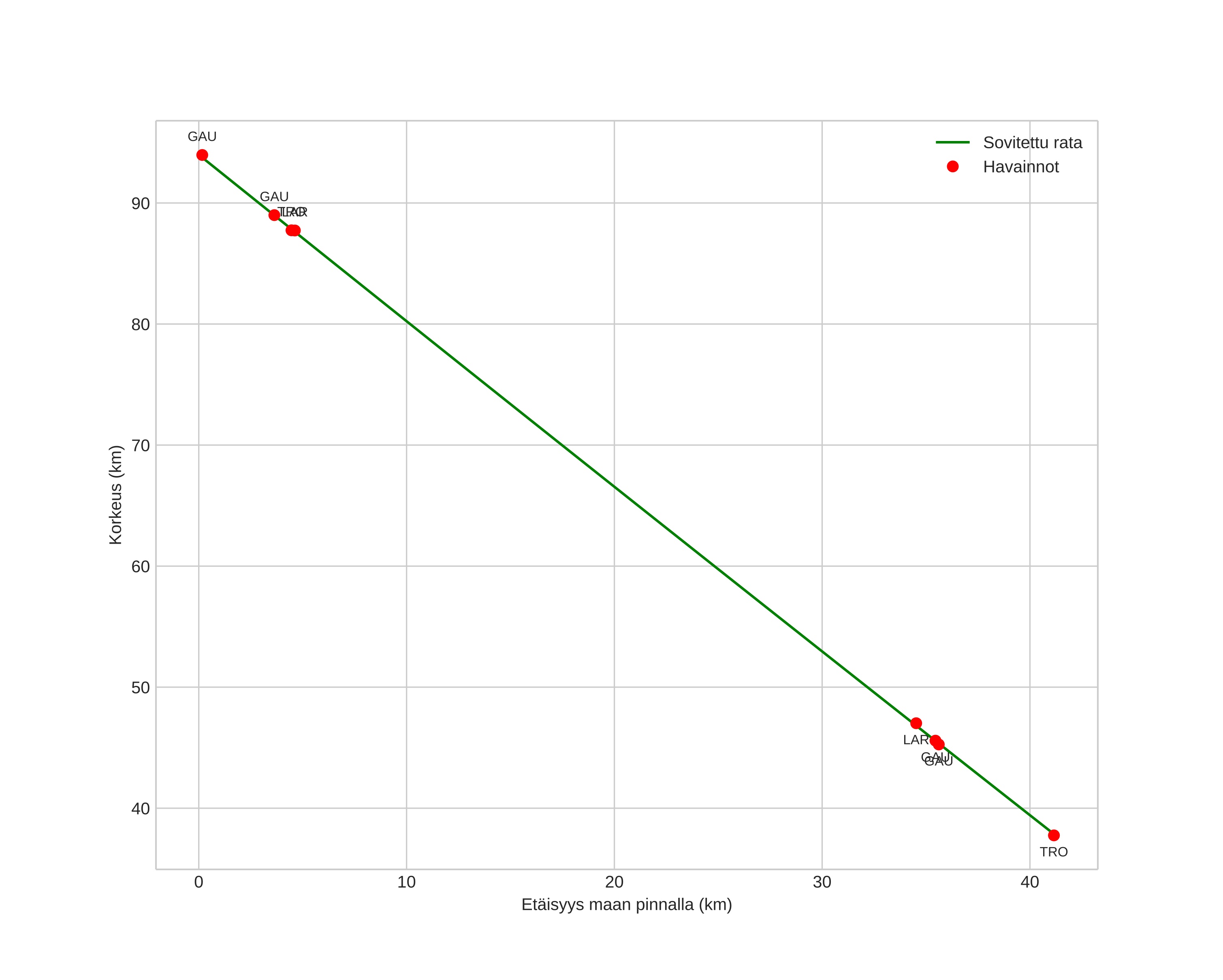
height profile
Meteorin ilmakehärata:
Alkukorkeus: 93,2 km
Loppukorkeus: 37,7 km
Alkupiste: 61,796N 12,251E
Loppupiste: 62,003N 12,873E
Suunta: 54,5°
Kallistuskulma: 54,3°
Tulonopeus: 34,9 km/s
Radiantin R,A,: 07:32 (113,0°)
Radiantin Dekl,: 32,7°
Meteoriparvi: Geminidit
Meteoroidin rataelementit:
Perihelietäisyys: 0,145 AU
Eksentrisyys: 0,882
Inklinaatio: 23,2°
Nousevan solmun pituus: 260,8°
Perihelin argumentti: 325,1°
Keskianomalia: 332,1°
Epookki: 2022 DEC 13 03:40:15
orbit plot

Ei-interaktiivinen kuvaaja | Interaktiivinen kuvaaja

position vs time
speed and acceleration