🇳🇴 🇬🇧 🇩🇪 🇨🇿 🇫🇮

Meteor, poloha: Engerdal 2022-12-13 04:58:51 UTC

Soubor KML  |  InteraktivnĂ­ mapa

Mapa zobrazuje dráhy meteoru. Světlejší čáry ukazují směry od pozorovacích stanic při objevení se meteoru a tmavší čáry, kde byl naposledy viděn. Modrá šipka značí viditelnou dráhu meteoru.

static map
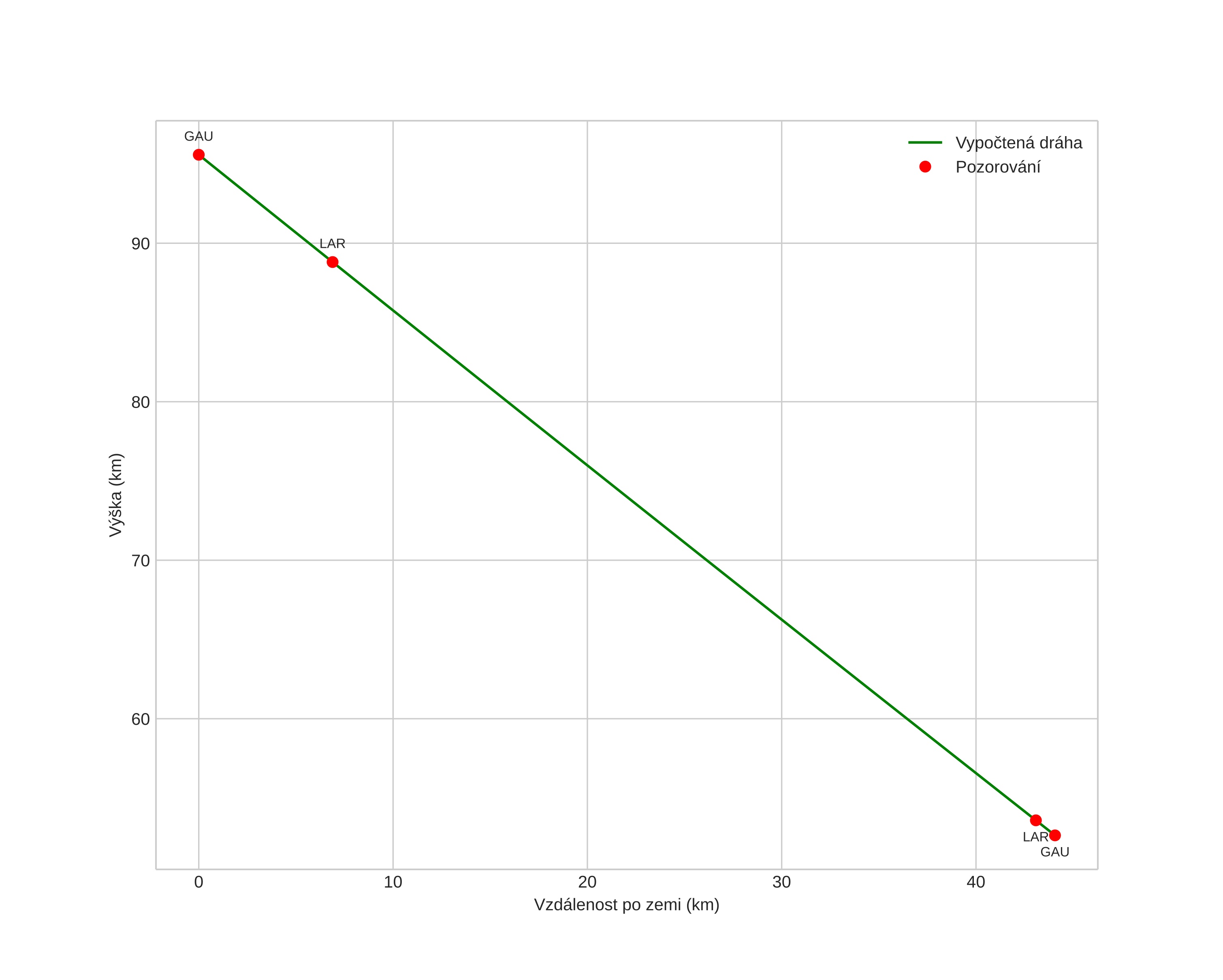
height profile
Atmosférická dráha meteoru:
Počáteční výška: 97,1 km
Konečná výška: 52,3 km
Počáteční poloha: 62,458N 11,681E
Konečná poloha: 62,549N 12,515E
Směr: 76,4°
Sklon: 45,5°
VstupnĂ­ rychlost: 35,6 km/s
Rektascenze radiantu: 07:27 (111,9°)
Deklinace radiantu: 32,6°
MeteorickĂ˝ roj: Geminidy
Elementy dráhy meteoroidu:
Vzdálenost v periheliu: 0,147 AU
Excentricita: 0,890
Sklon dráhy: 23,1°
Délka vzestupného uzlu: 260,8°
Argument perihelia: 323,8°
Střední anomálie: 336,0°
Epocha: 2022 DEC 13 04:58:51
orbit plot

NeinteraktivnĂ­ graf | InteraktivnĂ­ graf

position vs time
speed and acceleration