🇳🇴 🇬🇧 🇩🇪 🇨🇿 🇫🇮

Meteor Engerdalin yllä 2022-12-13 04:58:51 UTC

KML-tiedosto  |  Interaktiivinen kartta

Kartta näyttää meteorin suuntahavainnot. Vaaleammat viivat näyttävät suunnat havaintoasemilta meteorin ilmestyessä, ja tummemmat viivat näyttävät, missä se viimeksi nähtiin. Sininen nuoli näyttää meteorin näkyvän lennon.

static map
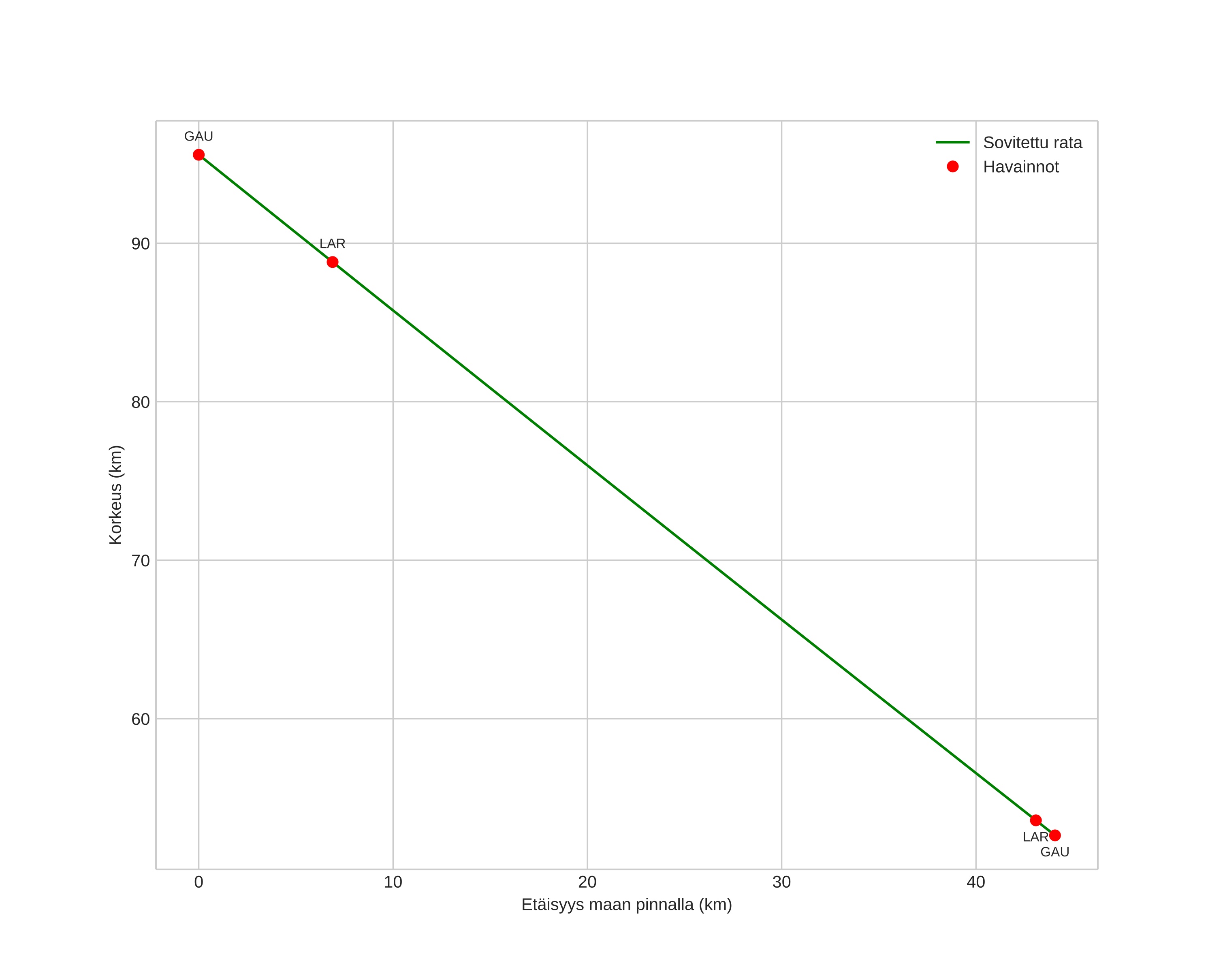
height profile
Meteorin ilmakehärata:
Alkukorkeus: 97,1 km
Loppukorkeus: 52,3 km
Alkupiste: 62,458N 11,681E
Loppupiste: 62,549N 12,515E
Suunta: 76,4°
Kallistuskulma: 45,5°
Tulonopeus: 35,6 km/s
Radiantin R,A,: 07:27 (111,9°)
Radiantin Dekl,: 32,6°
Meteoriparvi: Geminidit
Meteoroidin rataelementit:
Perihelietäisyys: 0,147 AU
Eksentrisyys: 0,890
Inklinaatio: 23,1°
Nousevan solmun pituus: 260,8°
Perihelin argumentti: 323,8°
Keskianomalia: 336,0°
Epookki: 2022 DEC 13 04:58:51
orbit plot

Ei-interaktiivinen kuvaaja | Interaktiivinen kuvaaja

position vs time
speed and acceleration