🇳🇴 🇬🇧 🇩🇪 🇨🇿 🇫🇮

Meteor, poloha: Hatteng 2022-12-13 05:27:16 UTC

Soubor KML  |  InteraktivnĂ­ mapa

Mapa zobrazuje dráhy meteoru. Světlejší čáry ukazují směry od pozorovacích stanic při objevení se meteoru a tmavší čáry, kde byl naposledy viděn. Modrá šipka značí viditelnou dráhu meteoru.

static map
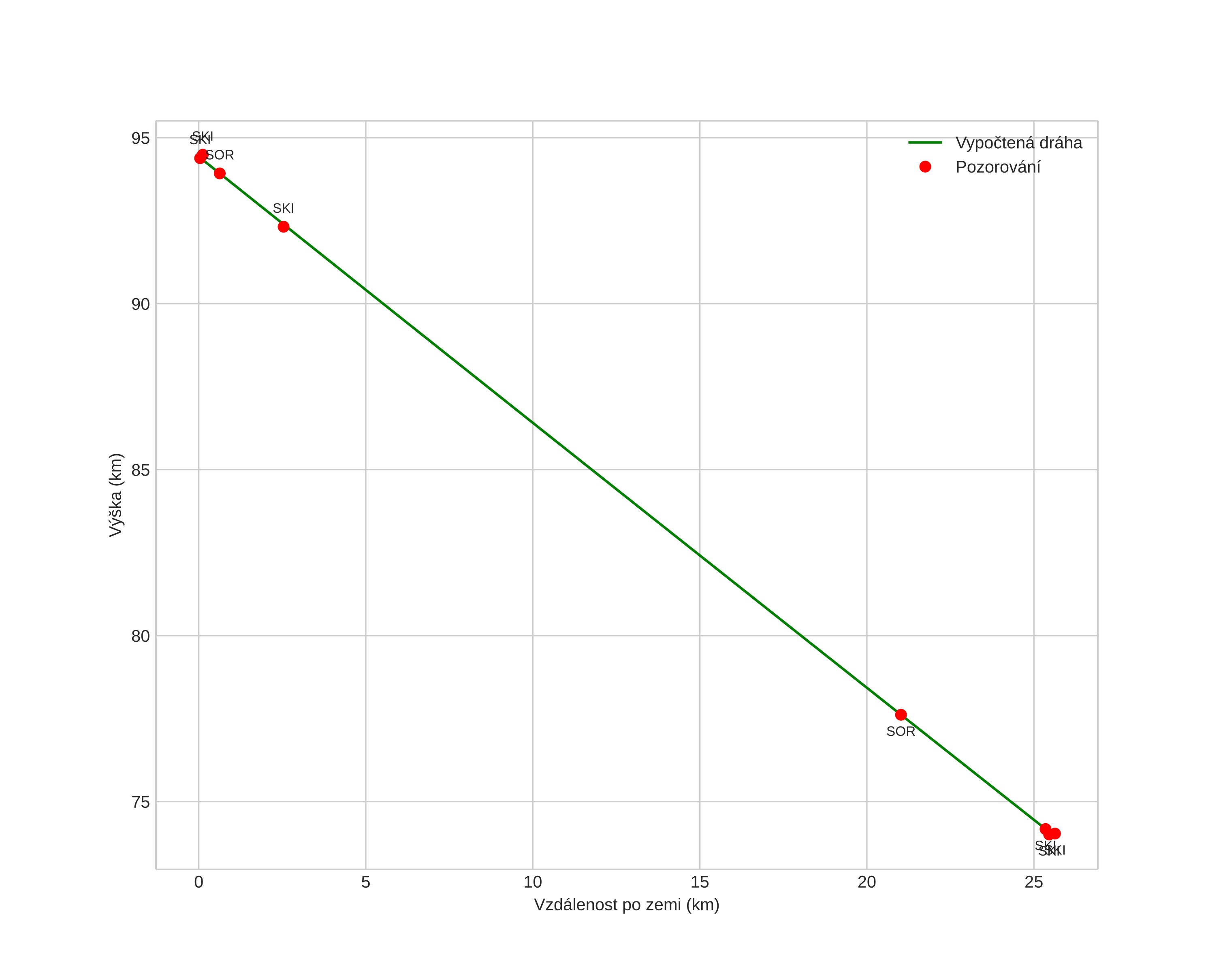
height profile
Atmosférická dráha meteoru:
Počáteční výška: 94,7 km
Konečná výška: 74,0 km
Počáteční poloha: 68,984N 19,838E
Konečná poloha: 69,008N 20,478E
Směr: 83,7°
Sklon: 38,9°
VstupnĂ­ rychlost: 33,8 km/s
Rektascenze radiantu: 07:35 (113,8°)
Deklinace radiantu: 32,2°
MeteorickĂ˝ roj: Geminidy
Elementy dráhy meteoroidu:
Vzdálenost v periheliu: 0,147 AU
Excentricita: 0,869
Sklon dráhy: 21,5°
Délka vzestupného uzlu: 260,8°
Argument perihelia: 326,0°
Střední anomálie: 327,6°
Epocha: 2022 DEC 13 05:27:16
orbit plot

NeinteraktivnĂ­ graf | InteraktivnĂ­ graf

position vs time
speed and acceleration