🇳🇴 🇬🇧 🇩🇪 🇨🇿 🇫🇮

Meteor Hattengin yllä 2022-12-13 05:27:16 UTC

KML-tiedosto  |  Interaktiivinen kartta

Kartta näyttää meteorin suuntahavainnot. Vaaleammat viivat näyttävät suunnat havaintoasemilta meteorin ilmestyessä, ja tummemmat viivat näyttävät, missä se viimeksi nähtiin. Sininen nuoli näyttää meteorin näkyvän lennon.

static map
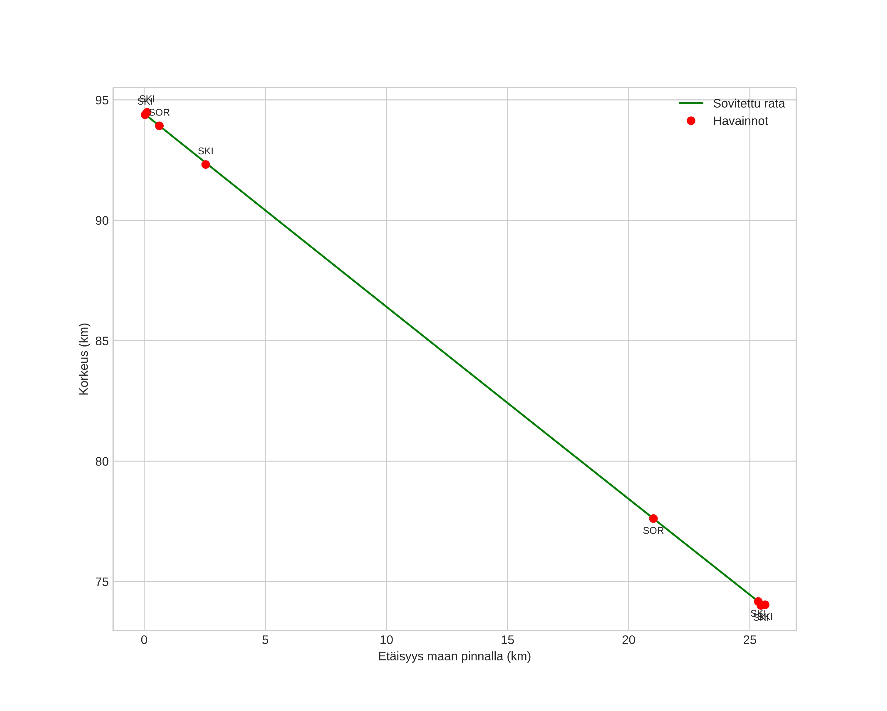
height profile
Meteorin ilmakehärata:
Alkukorkeus: 94,7 km
Loppukorkeus: 74,0 km
Alkupiste: 68,984N 19,838E
Loppupiste: 69,008N 20,478E
Suunta: 83,7°
Kallistuskulma: 38,9°
Tulonopeus: 33,8 km/s
Radiantin R,A,: 07:35 (113,8°)
Radiantin Dekl,: 32,2°
Meteoriparvi: Geminidit
Meteoroidin rataelementit:
Perihelietäisyys: 0,147 AU
Eksentrisyys: 0,869
Inklinaatio: 21,5°
Nousevan solmun pituus: 260,8°
Perihelin argumentti: 326,0°
Keskianomalia: 327,6°
Epookki: 2022 DEC 13 05:27:16
orbit plot

Ei-interaktiivinen kuvaaja | Interaktiivinen kuvaaja

position vs time
speed and acceleration